Ergebnisse eines deutschlandweiten Herkunftsversuchs 10 Jahre nach Aussaat
Die Weißtanne spielt aufgrund ihres Pfahlwurzelsystems eine wichtige Rolle im Klimawandel, da sie feuchtere Bodenhorizonte erschließt. In der Praxis wird zunehmend Saatgut aus Rumänien als klimaplastische Alternative verwendet. Ein im Jahr 2011 deutschlandweit angelegter Weißtannen-Herkunftsversuch des Bayerischen Amts für Waldgenetik in Zusammenarbeit mit der Arbeitsgemeinschaft Forstpflanzenzüchtung zeigt, dass sich Pflanzen aus Samenplantagen und Beständen der rumänischen Karpaten auf vielen Flächen gut entwickeln, häufig sogar besser als heimische Vergleichsherkünfte.

Abb. 1: Waldflächen im Nationalpark Rodna-Gebirge in den Karpaten (Foto: Gavrila Stetco, Pietrosu Mare, CC BY-SA 3.0)
Verbreitung der Karpatentanne in Rumänien
In den Gebirgen der Balkanregion bildet die Weißtanne unter günstigen Wärme- und Feuchtigkeitsverhältnissen die Waldgrenze [1]. In Rumänien ist sie eine Gebirgsbaumart, deren Verbreitung sich nach Süden zunehmend in die Hochlagen verschiebt. Sie besiedelt dort ausschließlich die montane Stufe der Karpaten und des Bihorgebirges. In diesem nacheiszeitlichen Rückwanderungsgebiet sind die Tannenbestände durch eine hohe genetische Variabilität gekennzeichnet [2, 3, 4].
Das Klima im Karpatenbogen ist gemäßigt kontinental geprägt. Entsprechend der Höhenlage (kolline Tieflagen in Siebenbürgen: 300 m; alpine Hochlagen der Karpaten bis 2500 m) schwanken die Jahresniederschläge zwischen 600 bis 1500 mm. Das Optimum der Tannenvorkommen liegt in kühl-feuchten Regionen mit Jahresniederschlägen um 800 mm und Jahresmitteltemperaturen von 7°C [5].
Zielsetzung und Versuchsbeschreibung
Da in den bayerischen Herkunfts- und Verwendungsempfehlungen bereits verstärkt rumänisches Plantagensaatgut als klimaplastische Alternative zu heimischen Herkünften empfohlen wird, ist die Entwicklung der Samenplantagenherkünfte (SPL) von großem Interesse für die Forstpraxis. Saatgut der SPL Avrig (Reg. Nr. PS-BR-SB79) kommt unter den synonymen Bezeichnung Poiana Neamtulu, der SPL Baia Sprie (PS - BR-MM81) als Carbunar und der SPL Sugas (PS-BR-CV82) auch unter dem Namen Valcele, Covasna bzw. St. Georghe auf den Markt.
Zur Bewertung der Herkunftsunterschiede wurden Nachkommenschaften von sieben autochthonen Saatguterntebeständen und den drei genannten Samenplantagen gepflanzt (Abb. 2). Das Saatgut dieser Ausgangsbestände wurde durch repräsentative Beerntung von 20 vorherrschenden, mindestens 30 Meter voneinander entfernten Elternbäumen gewonnen. Zapfenpflücker sammelten von jedem Baum 20 Zapfen.

Abb. 2: Lage der verwendeten Bestände und Samenplantagen (SPL) in Rumänien (Karte: Crux, ROMANIA Fizic, CC BY-SA 3.0)
Die im Versuch enthaltenen Herkünfte kommen aus Höhenlagen zwischen 600 und 1100 m ü. NHN. Die dort in der Periode 1970 bis 2000 registrierten Jahresniederschläge liegen im Mittel bei 740 mm. Die Jahresmitteltemperatur erreicht 6,0°C. In der Vegetationszeit (Mai bis September) beträgt die mittlere Niederschlagsmenge 450 mm und die Mitteltemperatur etwa 14,09°C. Die Hauptregenmenge fällt im Frühsommer. Diese Klimaverhältnisse entsprechen in etwa dem Niveau nordbayerischer Mittelgebirge.
Zu Vergleichszwecken wurde der Versuch mit drei deutschen Herkünften zugelassener Saatguterntebestände aus niederschlagsreichen Regionen (Alpen, Schwarzwald, Thüringer Wald) ergänzt.
Die Auspflanzung erfolgte auf 11 Versuchsstandorten in Höhenlagen von 25 bis 640 m ü. NHN. Die klimatischen Bedingungen in der Vegetationszeit sind im Mittel durch 380 mm Sommerniederschlag bei Mitteltemperaturen um 14,8 °C gekennzeichnet.
Im Versuch erfolgte somit ein Transfer von Tannen aus überwiegend höhergelegenen, kühl-feuchten Klimaregionen in Rumänien hin auf meist tieferliegende, vorwiegend warm-trockenere Anbaustandorte in Deutschland (Abb. 3).
Die mit 250 mm Sommerniederschlag trocken-wärmste Fläche befindet sich im brandenburgischen Breitefenn auf märkischem Sand in einer der regenärmsten Regionen Deutschlands. Auf den kühl-feuchten Versuchsstandorten Höfen (Schwarzwald) und Conradswiese (Erzgebirge) regnet es dagegen mehr als doppelt so viel.
Versuchsdesign war ein Blockmodell mit dreifacher Wiederholung. Es wurden Parzellen mit 48 Pflanzen (Alter 3+2) im Pflanzverband 2 x 2 m ausgebracht.
Bewertung der Herkünfte
Die Nachkommenschaften rumänischer Bestände und Samenplantagen haben sich hinsichtlich Überlebensrate und Pflanzenhöhe sehr gut entwickelt.
Überlebensrate
Die mittlere Überlebensrate der Herkünfte auf allen Flächen betrug 88%. Auf der Fläche Harsefeld war die Überlebensrate mit 66% signifikant niedriger. Tendenziell zeigten höhergelegene Versuchsflächenstandorte mit in der Vegetationszeit mehr Niederschlag überdurchschnittliche Überlebensraten.
Die Karpatenherkünfte wiesen 7% höhere Überlebensraten auf als die deutschen Herkünfte. Mit steigender Überlebensrate nahm bei vielen Herkünften auch die Pflanzenhöhe zu – ein Hinweis auf die Vitalität geeigneter Herkünfte. Der Versuch liefert damit einen ersten Hinweis auf die gute Anpassungsfähigkeit rumänischer Weißtannenherkünfte an die deutschen Standortsbedingungen.
Ausfälle in den ersten Jahren wurden durch Rüsselkäfer und verdämmende Begleitvegetation, aber auch durch Spätfrost verursacht. Trotz der außergewöhnlich geringen Niederschläge in den Jahren nach der Pflanzung waren bei keiner Herkunft trockenheitsbedingte Ausfälle zu beobachten.
Wuchsleistung
Fünf Jahre nach Anlage der Versuche mit 5-jährigen Baumschulpflanzen hatten die Pflanzen der rumänischen Herkünfte eine Mittelhöhe von 84 cm erreicht. Die drei deutschen Vergleichsherkünfte waren im Mittel 77 cm hoch. Die geringste Höhe wurde mit 51 cm auf der höchstgelegenen Fläche Conradswiese sächsischen Erzgebirge, die beste Höhenwuchsleistung bei Östringen in Baden-Württemberg mit 127 cm gemessen. Ein Zusammenhang zwischen Seehöhe der Versuchsanlage und Pflanzenhöhe war nicht nachweisbar.
Rumänische Weißtannenherkünfte wiesen im Mittel eine um 14% größere Höhenentwicklung auf als die deutschen Vergleichsbestände. Die Absaaten aus dem Generhaltungsbestand Dobra und der Samenplantage Baia-Sprie zeigten auf den meisten Versuchsflächen – trotz unterschiedlicher Standortsbedingungen – überdurchschnittliches Höhenwachstum. Dobra erreichte eine Mittelhöhe von 94 cm und lag auf 9 von 11 Versuchsflächen über dem Höhenmittelwert der jeweiligen Versuchsfläche. Zugleich hatte diese Herkunft überdurchschnittliche Überlebensraten.
Die rumänische Samenplantage Baia-Sprie übertraf die Samenplantage Avrig in der Höhenwuchsleistung um 15%. Die Samenplantage Avrig kombiniert Klone aus den Südkarpaten. Die Plantage Baia-Sprie hat wegen höherer Klonzahlen eine breitere genetische Basis als die Plantage Avrig. Sie stockt zudem in einem feucht-kühleren Klima als die Plantagen Avrig und Sugas sowie die Mehrheit der deutschen Versuchsstandorte. Der Transfer in deutlich wärmere Umweltbedingungen könnte das Wachstum zusätzlich gefördert haben. Abhängig vom Umfang an der Bestäubung beteiligter Elternbäume kann es zusätzlich zu Leistungsunterschieden bei den jeweiligen Nachkommenschaften eines Erntejahrgangs kommen.
Sehr gute Herkünfte sind durch überdurchschnittliches Höhenwachstum bei zugleich hoher Überlebensrate gekennzeichnet (Abb. 5). Die beste Entwicklung zeigen Nachkommenschaften der Bestände Dobra und Naruja sowie der Samenplantagen Baia-Sprie und Sugas. Sämtliche Karpatenherkünfte wachsen deutlich besser als die in Deutschland als Saatguterntebestände zugelassenen Vergleichsbestände Sonneberg (Thüringer Wald) und Teisenberg (Alpen, submontan). Nur der Bestand Oberharmersbach aus dem Nordschwarzwald liegt hinsichtlich der Höhenwuchsleistung auf dem Niveau der rumänischen Absaaten.
Die Pflanzenhöhe der Bestandesabsaat Dobra sowie der Samenplantagen Baia-Sprie und Avrig lag sowohl auf dem trocken-wärmsten Standort Breitefenn als auch auf dem feucht-kühlsten Versuch Höfen über dem jeweiligen Flächenmittel.
Höhenzuwachs 2020
Der Jahreszuwachs 2020 wurde auf vier Flächen erfasst. Größere Pflanzen zeigten signifikant längere Jahrestriebe. Bei den Nachkommen aller Samenplantagen und dem Bestand Dobra wurden überdurchschnittliche, bei allen deutschen Herkünften unterdurchschnittliche Längen des Leittriebs gemessen. Auch bei Auswertung des Höhenzuwachses ausschließlich vom Spätfrost nicht geschädigter Pflanzen lag Dobra deutlich über den anderen Beständen.
Es bestand ein Zusammenhang zwischen Seehöhe des Herkunftsbestands und Zuwachs: Absaaten von Herkünften aus höheren Karpatenlagen zeigten häufig höhere Zuwächse. Auf wärmeren Versuchsstandorten waren die Pflanzen im Mittel deutlich höher und zeigten längere Jahrestriebe. Der Zusammenhang zwischen Niederschlagsmenge des Versuchsstandorts und Höhenzuwachs war dagegen wesentlich schwächer ausgeprägt.
Für fünf der sieben rumänischen Bestände liegen genetische Analysen vor [4]. Setzt man die mittleren Diversitätswerte der Mischerbigkeit dieser Bestände in Relation zu Pflanzenhöhe, lässt sich eine leichte Korrelation erkennen. Herkünfte mit höherer genetischer Diversität scheinen wüchsiger zu sein.
Spätfrostschäden sind herkunftsabhängig
Im Frühjahr 2020 wurden auf sechs von elf Versuchsflächen Spätfrostschäden aufgenommen. Die stärksten Schädigungen wies die nordostbayerische Fläche Muckenreuth (Abb. 6a), die geringste der brandenburgische Standort Breitefenn auf.
Die Herkunft Dobra zeigte auf allen Flächen kaum Frostschäden (Abb. 6b), ebenso ein hoher Anteil der Nachkommenschaften aus den drei rumänischen Samenplantagen (Abb. 7). Diese Ergebnisse decken sich mit den Ergebnissen einer ersten Austriebsbonitur 2016 auf den zwei Flächen in Thüringen [6].
Im Folgejahr 2021 gab es erneut starken Spätfrost. Am Beispiel der Versuchsfläche Höfen (Baden-W.) zeigte sich, dass die Herkunft Dobra aufgrund des späten Austriebs wiederum fast unbeschädigt blieb.
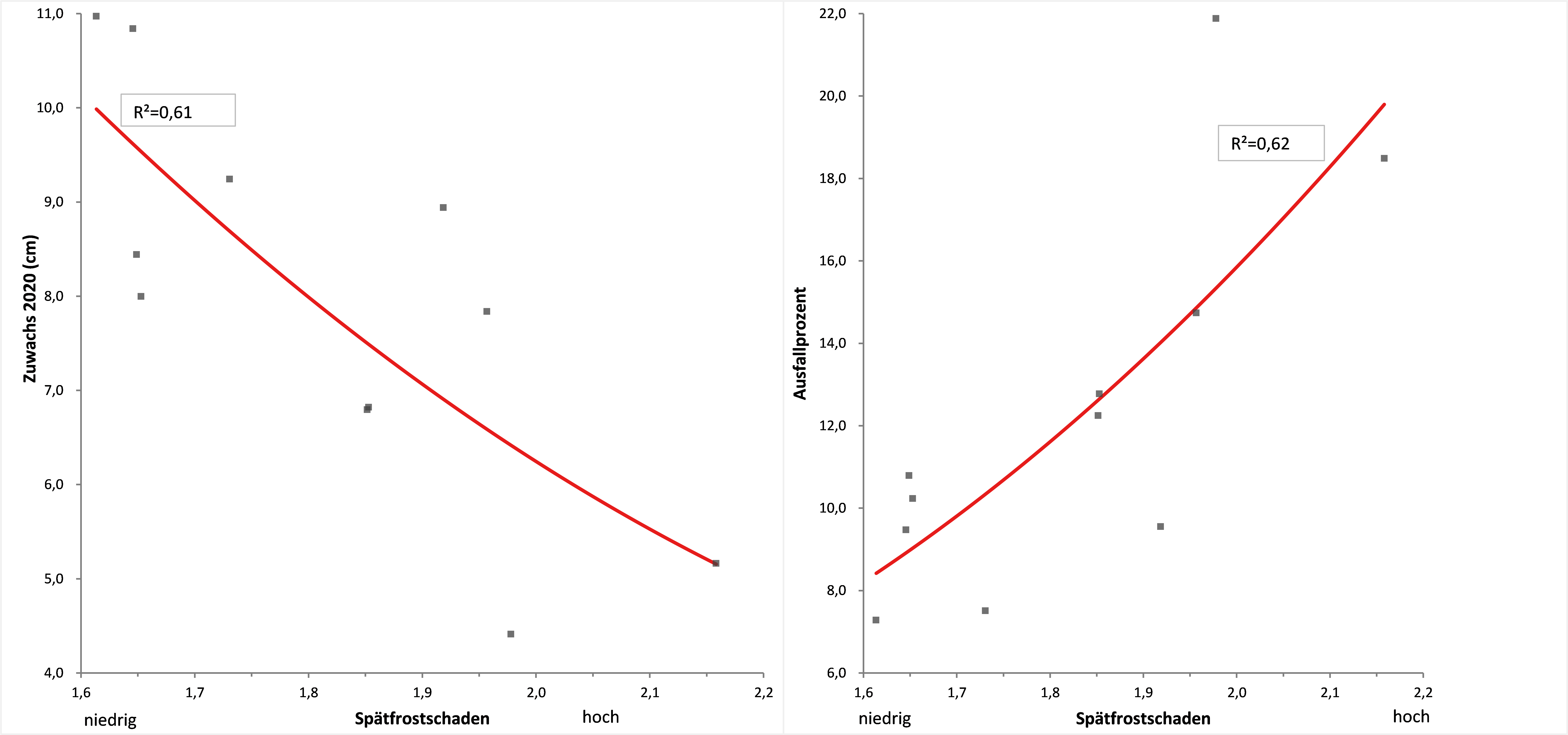
Spätfrostschäden führen zu Vitalitätseinbußen, Verbuschung, Zwieselbildung und Zuwachsverlusten. Sie erhöhen das Risiko von Ausfällen. Es war ein Zusammenhang zwischen Intensität der Spätfrostschäden und erhöhten Ausfällen nachweisbar (Abb. 8). Der Einfluss des Spätfrosts auf den Zuwachs war deutlich erkennbar: Gering frostgeschädigte Pflanzen hatten längere Leittriebe bzw. höhere Zuwächse. Rumänische Herkünfte, die nicht vom Frost betroffen waren, wiesen mittlere Jahreszuwächse von über 10 cm auf, während stark geschädigte Herkünfte nur 5 cm erreichten. Ein Zusammenhang zwischen Pflanzengröße und Spätfrostschäden war nicht nachweisbar.
Frostschäden waren nicht nur in den ersten Jahren nach Pflanzung zu beobachten, sondern auch noch im Alter 13 (Abb. 9).
Die Samenplantage Baia-Sprie sowie die Hochlagenbestände Dobra und Sinaia wiesen deutlich geringere Frostschäden auf als Bestände aus tieferen Lagen.
Wegen der hohen Wüchsigkeit und dem Fehlen von Spätfrostschäden weist die Herkunft Dobra aus einer Höhenlage von 1075 m NN im Vergleich zu anderen Herkünften eine überdurchschnittlich gute Entwicklung auf. Auch auf der intensiv frostgeschädigten Fläche Muckenreuth (415 m NN) zeigte sie nur 16% geschädigte Pflanzen. Bei der Herkunft Moinesti waren dagegen 88% der Pflanzen stark beeinträchtigt.
Folgerungen für die Praxis
Rumänische Herkünfte zeigen in den Versuchsanbauten gute Wuchsleistungen und geringe Ausfälle. Eine Ursache hierfür könnte im Transfer von feucht - kühleren Bergregionen der Karpaten auf vorwiegend klimatisch günstigere, deutsche Anbauflächen begründet sein.
Nachkommenschaften aus den rumänischen Samenplantagen (SPL) weisen bereits in der Jugendphase deutlich verbesserte Wuchsleistungen auf, was auf eine Selektion hinsichtlich Qualität, Wüchsigkeit und Vitalität zurückgeführt werden kann. Pflanzen aus den Plantagen zeichnen sich zusätzlich durch eine geringe Spätfrostgefährdung aus. Bei der Pflanzung von rumänischen Weißtannen sollte vorrangig Saatgut aus Samenplantagen sowie aus Beständen mit nachgewiesen hohen Anteilen spättreibender Bäume verwendet werden. Beim Ankauf von Saatgut aus Plantagen sind besonders die SPL Baia-Sprie und SPL Sugas zu berücksichtigen. Die SPL Avrig hat mit 30 Klonen eine deutlich schmalere genetische Grundlage als die SPL Baia-Sprie mit 42 Klonen. In Deutschland sind in Plantagen mindestens 40 Klone Voraussetzung für eine forstsaatgutrechtliche Zulassung.
Auch die rumänischen Bestandesabsaaten zeigen eine sehr gute Leistung, die auf vielen Flächen über den deutschen Vergleichsbeständen liegt. Herkünfte aus den höheren Lagen der Karpaten sind allerdings sowohl in den Hochlagen [7] als auch beim Transfer in Tieflagen häufig spätfrostgefährdet. In den Tieflagen wird die für den Austrieb erforderliche Wärmesumme früher erreicht und es kommt zu einem frühen Austrieb. Der sehr wüchsige Hochlagenbestand Dobra stellt diesbezüglich eine Ausnahme dar, da er in den tieferen Lagen der deutschen Versuchsstandorte auf fast allen Flächen spät austreibt und als Folge nur sehr geringe Spätfrostschäden aufweist. Das Austriebsverhalten dieses Bestands wird auch vom rumänischen Forstforschungsinstitut bestätigt [8]. Es handelt es sich um einen in Rumänien amtlich ausgewiesenen Generhaltungsbestand (Reg. Nr. RG-BR-D220-2). Die Kombination von hoher Spätfrostresistenz und überdurchschnittlicher Wuchsleistung machen den Bestand für die Saatgutgewinnung sehr interessant. Eine genetische Analyse dieses Bestands zeigt im Vergleich zu 36 weiteren Tannenbeständen repräsentative genetische Diversitätswerte [4]. Eine standörtliche Charakterisierung sowie eine forstsaatgutrechtliche Zulassung für kontrollierte Saatguternten durch die rumänische Forstbehörde wäre notwendig, um Saatgut dieses Bestands in Deutschland für Praxisanbauversuche nutzen zu können.
Die besten rumänischen Bestandesherkünfte kommen aus Gebirgsregionen mit ausreichend Jahresniederschlag und einem Niederschlagsmaximum im Sommer. Ihrer Anpassungsfähigkeit an steigende Temperaturen und zunehmende Sommertrockenheit muss deshalb in den kommenden Jahren speziell auf der niederschlagsärmsten Versuchsfläche Breitefenn (Brandenburg) besondere Aufmerksamkeit zukommen.
Ein besonderer Dank gilt allen Mitgliedern der Arbeitsgemeinschaft Forstpflanzenzüchtung für die Flächenanlage, Betreuung und Datenbereitstellung dieser Versuchsserie.




















