Borkenkäfer gehören weltweit zu den bedeutendsten Schadinsekten. In Europa verursacht der Buchdrucker (Ips typographus) rund 10% aller Waldschäden. Massenhaft vermehrt er sich vorwiegend nach grossen Sturmereignissen wie Vivian/Wiebke im Februar 1990 oder Lothar im Dezember 1999. Damals fielen in den Folgejahren 2 Mio. m3 (1990–1996) beziehungsweise 8 Mio. m3 (2000–2007) Käferholz an. Dabei hatte der heisse, trockene Sommer 2003 die Massenvermehrung nach dem Sturm Lothar verstärkt.
Zwei weitere Buchdrucker-Epidemien führten im 20. Jahrhundert ebenfalls zu grossen Schadholzmengen in der Schweiz: In der zweiten Hälfte der 1940er Jahre hatten heisse, trockene Sommer dafür gesorgt, dass sich der Buchdrucker massenhaft vermehrte und insgesamt 300‘000 m3 Käferholz anfielen. Ein Föhnsturm im November 1982 sowie der darauf folgende heisse Sommer und Westwindstürme im November 1983 führten zu einer Massenvermehrung mit rund 600‘000 m3 Käferholz bis 1985. Weitere regional begrenzte Borkenkäfer-Kalamitäten ereigneten sich vor allem nach Waldschäden aufgrund von Föhnstürmen oder Schneedruck.
Langjährige Buchdrucker-Umfrage als Datengrundlage
Zu Beginn der 1980er Jahre wurde aus Osteuropa über immissionsgeschädigte, absterbende Wälder berichtet. In Mitteleuropa begann man deshalb, den Gesundheitszustand der Wälder genauer zu beobachten. Neben den damals als "neuartig" bezeichneten Waldschäden erlangte auch die Diagnose und Überwachung von "klassischen" biotischen Schäden zunehmende Bedeutung.
Um das Ausmass und die Entwicklung der sich ab 1983 abzeichnenden Massenvermehrung des Buchdruckers überwachen zu können, begann die Eidgenössische Forschungsanstalt WSL im Jahre 1984, Daten zum Buchdrucker-Befall in der Schweiz zu erheben. Seither erheben die Experten von "Waldschutz Schweiz" jährlich in allen Schweizer Forstrevieren die Anzahl der neu entstandenen Befallsherde (Käfernester) und das Volumen des befallenen Fichtenholzes je Forstrevier. Das befallene Holz wird unterteilt in:
- im Sommer aufgerüstetes Käferholz (April–September)
- im Winter aufgerüstetes Käferholz (Oktober–März)
- stehen gelassenes Käferholz
Nach dem Sturm Lothar wurde zudem die Menge des Fichtensturmholzes erhoben sowie der Anteil, welcher bis Ende September 2000 geräumt wurde.
Die Aufnahmeeinheiten der Buchdrucker-Umfrage, also die Forstreviere, haben sich aufgrund von Revierzusammenlegungen zwischen 1984 und 2013 bezüglich Anzahl, Fläche und Perimeter (Grenzlinien) stark verändert. Von ursprünglich 1470 Forstrevieren sind nach 30 Jahren noch 792 übrig geblieben, wobei einzelne Reviere auf mehrere benachbarte aufgeteilt wurden.
Für unsere Untersuchungen benötigten wir Einheiten, die über den ganzen Untersuchungszeitraum unverändert blieben. Dazu stellten uns die kantonalen Forstämter ihre aktuellen Revierperimeter zur Verfügung. Mit einem Geo-Informationssystem (GIS) erstellten wir eine Karte mit 487 Forstschutzeinheiten (Abb. 2), für welche eine durchgehende Datenreihe zwischen 2000–2008 verfügbar war. Anhand dieses Datensatzes untersuchten wir die Auswirkungen von Sturmschäden, Witterung (Temperatur und Niederschlag), Sturmschadenbekämpfung und Zwangsnutzungen des befallenen Holzes auf die Befallsdynamik des Buchdruckers.

Abb. 2 - Zusammenhang zwischen Sturmschäden und Buchdrucker-Befall aufgeteilt in 487 Forstschutzeinheiten. a) Durch den Sturm Lothar verursachte Fichtensturmschäden in Kubikmetern je Hektar Waldfläche. b) Buchdrucker-Schäden in den Jahren 2000–2008 in Kubikmetern je Hektar Waldfläche. Weisse Flächen weisen auf unvollständige Datenreihen hin.
Sturmschaden führt zu Folgebefall
Die Befallsdynamik des Buchdruckers hängt wesentlich von der Temperatur ab. Einerseits beeinträchtigen hohe Temperaturen die Abwehrfähigkeit der Fichte, was zu einer Zunahme befallstauglicher Bäume führt. Andererseits entwickeln und vermehren sich die Borkenkäfer bei hohen Temperaturen rascher; dadurch sind mehr Käfer vorhanden, die wiederum Fichten befallen können. Diese beiden Effekte führten im Jahrhundertsommer 2003 dazu, dass die Buchdrucker-Schäden nochmals stark anstiegen, nachdem die Anzahl der Befallsherde im Vorjahr bereits abgenommen hatte.
Sturmereignisse, die im Fichtenwald Streu- und Flächenschäden verursachen, gelten als wichtige Auslöser von Buchdrucker-Massenvermehrungen. Die Datenreihe bestätigte dies: Die grössten Buchdrucker-Schäden traten in Regionen auf, in denen der Sturm Lothar bereits sehr viele Bäume geworfen oder Stämme gebrochen hatte (Abb. 2). Dabei wurden in Regionen mit hohen Fichtenvorräten grössere Schäden beobachtet.
Lothar wütete insbesondere im Mittelland und in den westlichen und zentralen Voralpen. Rund 8 Mio. m3 Fichtenholz Fielen ihm zum Opfer. In der Folge vermehrte sich der Buchdrucker vor allem in Regionen mit starken Sturmschäden, wodurch nochmals dieselbe Menge Fichten befallen und abgetötet wurde. Je grösser ein Sturmschaden ausgefallen war, desto grösser war der Folgeschaden (Abb. 3).

Abb. 3 - Zusammenhang zwischen Lothar-Sturmschäden und Buchdrucker-Befall in den Jahren 2000–2002. Rote Linien: Vorhersage und Streuungsbereich (gestrichelt) einer Quantilregression.
Aufrüsten von Sturmholz reduziert Buchdrucker-Befall
Nach Sturmschäden wird das frisch geworfene und gebrochene Fichtenholz typischerweise aufgerüstet. Dadurch versucht man, den Folgebefall durch den Buchdrucker deutlich einzuschränken. Das Entfernen geworfener Stämme ist wirksam, solange der Neubefall im Sturmholz stattfindet. Je grösser die Sturmschäden, desto anspruchsvoller wird es aber aus logistischen Gründen, das Holz rechtzeitig aufzurüsten. Deshalb nimmt der Anteil des geräumten Sturmholzes mit zunehmenden Sturmschäden ab (Abb. 4).
Die unvollständige Räumung führte darum auch zu grösseren Borkenkäfer-Schäden. Dabei zeigte sich, dass die Folgeschäden bis ins Jahr 2002 an jenen Orten relativ gering ausfielen, wo die Forstdienste bis zum Herbst 2000 mindestens 80% des Sturmholzes aufgerüstet hatten. Ab Frühling 2001 nahm der Neubefall an stehenden Fichten deutlich zu. Dies hatte zur Folge, dass das Aufrüsten von Sturmholz ab diesem Zeitpunkt keine bekämpfende Wirkung mehr hatte.

Abb. 4 - Zusammenhang zwischen Lothar-Sturmschäden und Räumungsanteil bis September 2000. Rote Linien: Vorhersage und Streuungsbereich (gestrichelt) einer Quantilregression.
Zwangsnutzung von Käferholz reduziert den Folgebefall
Sobald sich der Neubefall auf stehende Fichten konzentriert, können Befallsherde jedoch durch die Zwangsnutzung von frischen Käferbäumen bekämpft werden. Wichtig ist dabei, dass die befallenen Bäume gefällt und abgeführt oder entrindet werden, bevor die Jungkäfer aus dem Stamm ausgeflogen sind. Das ist insofern anspruchsvoll, als zwischen der Besiedlung einer Fichte mit Borkenkäfern und dem Entdecken dieses neuen Befalls oft eine gewisse Zeit verstreicht. Folgt die Zwangsnutzung erst in den ersten Wochen nach dem Ausflug der Borkenkäfer, kann sie sogar schaden, da natürliche Feinde des Buchdruckers (räuberische Käfer und Fliegen, parasitische Wespen) länger im Stamm verweilen und durch die zu späte Zwangsnutzung eliminiert werden.
Trotzdem können wir nachweisen, dass sich der Buchdrucker nach Lothar in den meisten Regionen der Schweiz erfolgreich bekämpfen liess. Daraus schliessen wir, dass die Zwangsnutzungen wirksam waren und weniger Folgebefall auftrat.
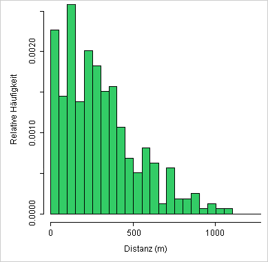
Die Bekämpfung des Buchdruckers ist allerdings nur wirksam, wenn mindestens 80% des Neubefalls rechtzeitig genutzt wird. Regelmässige Kontrollgänge während den Schwärmzeiten des Borkenkäfers helfen, Neubefall frühzeitig zu erkennen. Wenn die Zeit dafür fehlt, sollten die Kontrollgänge vor allem dort stattfinden, wo Neubefall zu erwarten ist: Am Beispiel des Napfgebietes liess sich nachweisen, dass sich rund zwei Drittel des Neubefalls näher als 300 m bzw. 80% näher als 500 m vom nächstgelegenen Befallsherd ereigneten (Abb. 6). Diese Ausbreitungsdistanz von Befallsherden sollte bei der Planung von Kontrollgängen berücksichtigt werden.

Abb. 6 - Histogramm der Distanz zwischen neuen Befallsherden im Jahr 2002 und Vorjahresschäden im Napfgebiet. Mit zunehmender Distanz zum nächsten Befallsherd nimmt der Anteil neuer Käfernester ab.
Schäden lassen sich einschränken, aber nicht verhindern
Die heute praktizierten Bekämpfungsmassnahmen haben sich in unseren Untersuchungen überwiegend als wirksam erwiesen: Sowohl das Aufrüsten von sturmgeschädigten Fichten als auch die Zwangsnutzung von Käferbäumen tragen dazu bei, Borkenkäfer-Schäden einzuschränken. Verhindern lassen sie sich damit aber nicht.
Nach Ereignissen wie Sturm, Schneedruck, Lawinen, Hitze oder Trockenheit wird die Befallsdynamik des Buchdruckers in erster Linie vom mehrjährigen Temperaturverlauf geprägt. In Regionen mit hohen Fichten-Vorräten sind grundsätzlich grössere Schäden zu erwarten. Ihr Ausmass liesse sich deutlich reduzieren, wenn ein Grossteil (mehr als 80%) des geschädigten Fichten-Sturmholzes im ersten Sommer nach einem Ereignis aufgerüstet wird.
Die Bekämpfung hat nur Erfolg, wenn frisch befallene Fichten genutzt werden, bevor die Borkenkäfer aus dem Baum ausfliegen. Damit Neubefall rechtzeitig Entdeckt werden kann, empfiehlt es sich, zu Schwärmzeiten des Buchdruckers Kontrollgänge in der Umgebung (bis 500 m) von bereits bekannten Befällen durchzuführen. Mit einer konsequenten Umsetzung dieser Bekämpfungsstrategie lässt sich das Schadensausmass deutlich reduzieren.
(TR)








