Im Zuge des Waldumbaus sowie als Folge von großflächigen Schadereignissen nach Sturm, Hitze oder Trockenheit ergibt sich ein erhöhter Bedarf zur Begründung und Aufforstung von standorts- und klimagerechten Mischwäldern. Bei hoher Schalenwilddichte muss dabei in der Etablierungsphase ein Verbissschutz in Form eines Zaunes oder Einzelschutzes durch Wuchshüllen etabliert werden. Insgesamt wurden in den Jahren 2014 bis 2018 1,8 Mio. Wuchshilfen nach dem waldbaulichen Förderprogramm des Freistaates Bayern im Privat- und Körperschaftswald ausgebracht und mit 2 Mio. € bezuschusst.
Aufgrund des benötigten Arbeitsaufwandes für den Rückbau werden Wuchshüllen jedoch häufig nicht als Abfall aus dem Wald entfernt, wodurch es zum Eintrag von Mikroplastik kommt. Für Baden-Württemberg haben Hein et al. (2019) hochgerechnet, dass von jährlich 400.000 ausgebrachten handelsüblichen Wuchshüllen aus Polypropylen oder vergleichbaren Werkstoffen bis zu 80 % nicht zurückgebaut werden. Die Autoren geben an, dass in den letzten 20 Jahren dementsprechend bis zu 4,5 Mio. Wuchshüllen alleine in Wäldern dieses Bundeslandes verbleiben. Gerade in den letzten Jahren wird die Förderung von Wuchshüllen daher kontrovers diskutiert.
Abb. 1: Versuchsaufbau im Universitätswald Sailershausen; auf drei Störungsflächen wurden insgesamt 2.016 Individuen der Traubeneiche (Quercus petrea) und Elsbeere (Sorbus torminalis) gepflanzt und 1.728 Wuchshüllen ausgebracht (oben). Auf jeder Fläche wurden zusätzlich die mikroklimatischen Bedingungen im Inneren der Wuchshüllen aufgezeichnet und mit der Kontrolle verglichen, insgesamt waren 63 Sensorsysteme im Einsatz (unten). Fotos: © TU Dresden
Die Notwendigkeit für den Einsatz von Wuchshüllen wurde mit dem Bedarf für eine rasche Begründung von klimagerechten Mischwäldern sowie dem gezielten Einbringen von Edellaubhölzern begründet, da Wuchshüllen bei ausreichendem Lichtangebot den Anwuchserfolg erhöhen können. Dies geht jedoch teilweise aufgrund des erhöhten Längenwachstums zulasten der Stabilität. Aufgrund der festgestellten Reduktion der photosynthetisch aktiven Strahlung (PAR, µm m-2 s-1) um bis zu 70% wird eine Verwendung vor allem auf Freiflächen empfohlen. Hier kommt es zu einem "Gewächshauseffekt", welcher den Zuwachs in der Etablierungsphase begünstigen soll.
In Anbetracht der Temperaturzunahme der vergangenen Jahrzehnte bleibt es jedoch fraglich, ob dieser angepriesene positive Mikroklimaeffekte innerhalb der Wuchshülle den Zuwachs tatsächlich begünstigt oder stattdessen zu einer Schädigung der Kulturen aufgrund von Hitzestress führt. Dabei gilt zu bedenken, dass vor allem Schattenbaumarten zwar mit dem reduzierten Lichtgenuss gut zurechtkommen, von den höheren Temperaturen und somit der höheren Verdunstungsbeanspruchung aber negativ betroffen sein könnten. Bei Blatttemperaturen über 40 °C kann es zu einem sprunghaften Anstieg des verbleibenden Wasserverlustes trotz geschlossener Spaltöffnungen kommen, welcher zur Dehydrierung des Gewebes und letztendlich zum Absterben der Kultur führen kann. Dementsprechend ist es nicht verwunderlich, dass Oliet & Jacobs (2007) aufgrund der erhöhten Verdunstungsbeanspruchung innerhalb der Hüllen eine artspezifische Konfiguration der Wuchshüllen empfehlen.
Untersuchungsflächen und Methodik
In einem Feldversuch im Universitätswald Sailershausen der Universität Würzburg wurde auf drei Störungsflächen die Reduktion der photosynthetisch aktiven Strahlung (PAR) in sechs verschiedenen Wuchshüllentypen ermittelt und die Lufttemperatur und Luftfeuchte aufgezeichnet, um das Sättigungsdefizit der Luft (VPD) bestimmen zu können (Abbildung 1). Zum Einsatz kamen drei handelsübliche Wuchshüllen aus Polypropylen sowie drei Varianten, welche laut Hersteller biologisch abbaubar sein sollen (Abbildung 2). Insgesamt wurden 63 Sensorsysteme im Inneren der Hüllen installiert. Zusätzlich sollte der Anwuchserfolg während der Etablierungsphase innerhalb der Wuchshüllentypen ermittelt und in Bezug zu den mikroklimatischen Bedingungen gesetzt werden. Hierfür wurden je Wuchshüllentyp und Standort 48 Individuen der Baumarten Traubeneiche (Quercus petrea) und Elsbeere (Sorbus torminalis) sowie 48 Kontrollpflanzungen ohne Wuchshülle ausgebracht; insgesamt 2.016 Jungbäume. Nach Niinements & Valladares (2006) liegt die Schattentoleranz der Traubeneiche bei 2,45 und die der Elsbeere bei 3,74 (Werteskala von 1 (geringe Toleranz) bis 5 (hohe Toleranz)). Die Pflanzungen fanden im Zeitraum von 12/2021 bis 01/2022 statt. Bisher wurden drei Inventuren durchgeführt (02/2022, 09/2022 und 09/2023). Zum Zeitpunkt der Pflanzung wiesen die Jungbäume beider Arten vergleichbare Wurzelhalsdurchmesser (5,47 mm) und Höhen (32,10 cm) auf.

Abb. 2: Übersicht über die sechs verwendeten Wuchshüllentypen, wovon drei von den Herstellern als biologisch abbaubar bezeichnet werden. Angegeben sind neben dem Akronym, den Herstellern und dem verwendeten Material die Dimensionen der Wuchshüllen sowie die Nettoanschaffungskosten in 2021 bei einer Abnahme von jeweils 300 Stück.
Mikroklimatische Bedingungen

Abb. 3: Mikroklimatische Bedingungen innerhalb der Vegetationsperiode vom 1. Mai bis 31. August der beiden Untersuchungsjahre 2022 und 2023 sowie im Inneren der sechs verschiedenen Wuchshüllentypen. Unterschiedliche Kleinbuchstaben kennzeichnen signifikante Unterschiede (p<0,05). C =Kontrolle, weitere Abkürzungen siehe Abbildung 2.
Im Jahresmittel war 2022 in der Vegetationsperiode vom 01. Mai bis 31. August um 1,34 °C wärmer als 2023 (Abbildung 3a), was mit einem höheren Lichtgenuss und einer höheren atmosphärischen Trockenheit in 2022 einherging. In den verschiedenen Wuchshüllen unterschieden sich die mikroklimatischen Bedingungen teilweise deutlich von der Kontrolle (gemittelt über 2022 und 2023). Bei vier der sechs Wuchshüllentypen (H, PLA, PP1, PP2; vgl. Abbildung 2) kamen im Inneren im Mittel 26 % der Strahlung der Kontrolle an, wobei bei den Papier-Wuchshüllen (P) lediglich 6 % und bei den transparenten Ventex Clear Plastikhüllen (PP3) im Mittel 78 % der Strahlung der Kontrolle festgestellt wurden (Abbildung 3b). Beim mittleren Tagesmaximum der photosynthetisch aktiven Strahlung (PARmax) erreichten die Dendron Holzwuchshüllen (H) 77 %, die Ventex Clear Plastikhüllen (PP3) 72 %, die Polypropylenwuchshüllen SG (PP1) und Microvent (PP2) 66 %, die BioWit Classic Polyactidwuchshülle 23 % und BioWit NT Natur Papierwuchshülle 11 % der Kontrolle (Abbildung 3c).
Bei der festgestellten Lufttemperatur (Tmean) und dem Sättigungsdefizit der Luft (VPDmean) konnten im Mittel über beide Vegetationsperioden hinweg zwei Gruppen festgestellt werden. Die biologisch abbaubaren Papier- und Holzwuchshüllen ähnelten der Kontrolle während in den Plastikwuchshüllen deutlich höhere Werte erzielt wurden (Abbildung 3b). Diese Unterschiede fielen noch extremer aus, wenn nur das Tagesmaximum für den gleichen Untersuchungszeitraum berücksichtigt wurde (Abbildung 3c).
Wuchsverhalten einer Licht- und Schattenbaumart in der Etablierungsphase
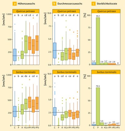
Nach zwei Vegetationsperioden wiesen die Jungbäume der Traubeneiche einen durchschnittlichen Zuwachs im Wurzelhalsdurchmesser von 78,4 % (9,39 mm) und einen durchschnittlichen Höhenzuwachs von 204,6 % (95,8 cm) auf, während die Jungbäume der Elsbeere einen durchschnittlichen Durchmesserzuwachs von 70,7 % (9,67 mm) und einen durchschnittlichen Höhezuwachs von 233,5 % (109,2 cm) aufwiesen. Dabei konnten bei beiden Baumarten signifikante Unterschiede zwischen den Wuchshüllentypen festgestellt werden (Abbildung 4a,b).
Im Mittel lag der Höhenzuwachs bei der Traubeneiche in den vier Plastikwuchshüllen 91,2 % über dem der Kontrolle (406,07 mm/a versus 211,72 mm/a). Bei der Dendron Holzwuchshülle (205,14 mm/a) wurden um 3,3 % geringere Werte als bei der Kontrolle festgestellt, während bei den Papierwuchshüllen (7,03 mm/a) der Höhenzuwachs sogar um 96,7 % geringer als bei der Kontrolle ausfiel. Bei der Elsbeere lag der mittlere Höhenzuwachs in den vier Plastikwuchshüllen 51,6 % (420,08 mm/a) und bei der Dendron Holzwuchshülle 15,8 % (320,95 mm/a) über dem der Kontrolle (277,08 mm/a), während bei der Papierwuchshülle gerade mal 24,6 % der Kontrolle erreicht wurden (68,23 mm/a). Unsere Ergebnisse bestätigen damit zahlreiche Untersuchungen, welche an Laubbäumen ein verstärktes Höhenwachstum in Wuchshüllen festgestellt haben (Ponder 2003; Abe 2022).
Bei dem durchschnittlichen Zuwachs des Wurzelhalsdurchmessers hingegen waren die Unterschiede weniger deutlich ausgeprägt. Bei Traubeneiche und Elsbeere fiel der Zuwachs in den Wuchshüllen geringer als in der Kontrolle aus, jedoch mit Unterschieden zwischen den Wuchshüllentypen. Bei der Traubeneiche lagen die Zuwächse bei den Wuchshüllentypen mit Ausnahme der Papierwuchshülle um 2,03 mm/a, d.h. im Mittel 29,3 % unter der Kontrolle (2,88 mm/a). Ein extremer Ausreißer war hier der mittlere Zuwachs innerhalb der Papierwuchshüllen, welcher mit 0,05 mm/a gerade mal 1,7 % der Kontrolle erreichte (Abbildung 4b). Bei der Elsbeere konnte in den fünf Wuchshüllentypen ebenfalls ein mittlerer Wurzelhalsdurchmessers von 2,03 mm/a festgestellt werden, d.h. im Mittel 27,8 % weniger als die Kontrolle (2,81 mm/a). Auch bei dieser Schattenbaumart fiel der Wurzelhalsdurchmesserzuwachs mit 0,14 mm/a in den Papierwuchshüllen extrem niedrig aus. Es wird angenommen, dass unter anderem die reduzierte mechanische Belastung durch Wind in Wuchshüllen zu einer Ressourcenallokation zugunsten des Höhenwachstums führt.
Mit Ausnahme der Papierwuchshülle (BioWit NT Natur) lag die festgestellte Mortalitätsrate zwei Jahre nach Pflanzung einheitlich niedrig bei 2,8 % bei der Traubeneiche und bei 2,4 % bei der Elsbeere. Es konnten keine erheblichen Unterschiede zwischen der Kontrolle und den unterschiedlichen Wuchshüllentypen festgestellt werden. Lediglich bei der Papierwuchshülle wurde eine Mortalitätsrate von 95,1 % bei der Lichtbaumart Traubeneiche und 76,4 % bei der Schattenbaumart Elsbeere festgestellt. Dies ist vermutlich auf die sehr geringe photosynthetisch aktive Strahlung (PAR) im inneren der Wuchshüllen zurückzuführen.
Negativer Gewächshauseffekt bleibt aus
Laut dem Deutschen Wetterdienst waren die Jahre 2022 und 2023 gemeinsam mit 2018 die wärmsten Jahre seit Beginn der systematischen Wetteraufzeichnungen. Im Universitätswald Sailershausen wurden gemittelt über die Kontrollmessungen auf den drei Störungsflächen für 2022 und 2023 insgesamt 191 "Sommertage" (Tage mit einer Tagesmaximumtemperatur (Tmax) von mehr als 25 °C) sowie 100 "heiße Tage" (Tage mit Tmax von mehr als 30 °C) festgestellt. Die maximale Dauer von Hitzeperioden lag 2022 bei 7 Tagen und 2023 bei 11 Tagen (Anzahl aufeinanderfolgender Tage mit Tmax über 30 °C).
Hierdurch wurden an mehreren Tagen Lufttemperaturen >40 °C erreicht, ab welcher es nachweislich zu Schädigungen aufgrund von erhöhten kutikulären Transpirationsraten kommen kann, falls die Blatttemperatur vergleichbare Werte erreicht. Während in der Gruppe 1 (Kontrolle, Papier- und Holzwuchshülle) im Mittel lediglich an 15,7 Tagen Temperaturen > 40 °C festgestellt wurden, kam es in der Gruppe 2 (Plastikwuchshüllen mit Ausnahme der Wuchshülle Ventex Clear) insgesamt an 81,0 Tagen zu solch hohen Temperaturen. Bei der transparenten Plastikwuchshülle Ventex Clear wurden sogar an 121 Tagen in 2022 und 2023 Temperaturen > 40 °C gemessen.
Trotzdem konnte über beide Baumarten hinweg ein positiver Effekt von Temperatur und Verdunstungsbeanspruchung im Inneren der Wuchshüllen auf das Längenwachstum festgestellt werden (Abbildung 5b,c). Der Durchmesserzuwachs wiederum wurde vor allem von der Lichtdurchlässigkeit beeinflusst (Abbildung 5d). Selbst in den klimatisch extremen Jahren 2022 und 2023 scheint der von den Herstellern angepriesene Gewächshauseffekt die Vitalität der Jungbäume nicht negativ zu beeinflussen. Vor allem in den Plastikwuchshüllen wurden deutlich höhere Ausfälle aufgrund der hohen Anzahl an Tagen mit Maximaltemperaturen >40 °C erwartet. Trotzdem war hier das Höhenwachstum bei beiden Baumarten am höchsten, vermehrte Ausfallraten konnten nicht festgestellt werden. Lediglich der geringe Lichtgenuss von 6 % der Kontrolle im Inneren der Papierwuchshüllen führte zu massiven Ausfällen bereits im ersten Jahr. Eine Erklärung könnte sein, dass in den mit Jungbäumen bestückten Wuchshüllen aufgrund der Transpirationskühlung geringere maximale Blatttemperaturen im Vergleich zu den festgestellten maximalen Lufttemperaturen in den Wuchshüllen erreicht werden.
Ausblick
Die kommenden Untersuchungsjahre werden zeigen, ob eine reduzierte Stabilität aufgrund des erhöhten Längenwachstums auf Kosten des Durchmesserwachstums nach Rückbau der Wuchshüllen zu erhöhten Mortalitätsraten führt. Auch wenn klimatische Extremwerte in den Plastikwuchshüllen bisher nicht zu einer erhöhten Mortalität geführt haben, erscheint es vielversprechend, dass die festgestellten mikroklimatischen Bedingungen und die Zuwachsraten in den vollständig und rückstandslos biologisch abbaubaren Holzwuchshüllen den Bedingungen der Kontrolle am ähnlichsten sind.
Auch die Papierwuchshüllen wiesen eine vergleichbare Temperatur und Verdunstungsbeanspruchung wie die Kontrolle auf, jedoch war der Lichtgenuss um 94% reduziert und führte zu extremen Ausfallraten. Es muss jedoch betont werden, dass die verwendeten Papierwuchshüllen BioWit NT Natur der Firma Witasek in dieser Form nicht mehr vertrieben werden. Das Nachfolgemodel Biowit NT BTR weist deutlich größere Lichteinfallöffnungen auf. Ob diese Veränderung ausreichend ist, wird in Folgestudien überprüft werden müssen.
Weiter kann die Notwendigkeit einer artspezifischen Konfiguration der Wuchshüllen – wie von Oliet & Jacobs (2007) empfohlen – trotz Einbeziehung einer Licht- und Schattenbaumart aktuell nicht bestätigt werden. So wurden zum Beispiel bei zwei Wuchshüllen aus Polypropylen enorme Unterschiede in der photosynthetisch aktiven Strahlung festgestellt (Abbildung 3). Dies führte jedoch nicht zu Unterschieden im Höhen- oder Durchmesserzuwachs, weder bei der Traubeneiche noch bei der Elsbeere.
Zusammenfassung
Bei den Plastik- oder Bioplastikwuchshüllen konnte ein positiver Einfluss auf das Längenwachstum festgestellt werden – trotz der Häufung von klimatischen Extremwerten im Inneren der Hüllen. Um den weiteren Eintrag von Mikroplastik in Waldökosysteme zu reduzieren, sollte jedoch auf den Einsatz von Wuchshüllen aus Polypropylen verzichtet werden. Solange keine einheitliche Zertifizierung der biologischen Abbaubarkeit von Wuchshüllen unter Feldbedingungen in Waldökosystemen gegeben ist empfiehlt es sich daher, Naturprodukte aus nachwachsenden Rohstoffen zu verwenden.
Das Projekt klifW015 wurde vom Staatsministerium für Ernährung, Landwirtschaft, Forsten und Tourismus finanziert (Laufzeit: 01.11.2021 bis 31.10.2022) und in Kooperation mit dem Universitätsforstamt Sailershausen durchgeführt.













