In Bergwäldern dauert es oft länger als in tiefen Lagen, bis nach einem Holzschlag junge Bäume nachwachsen. Eine rasche Wiederbewaldung ist im Schutzwald jedoch wichtig, damit die Schutzfunktion kontinuierlich erhalten bleibt. Daher ist es von grossem Vorteil, wenn zum Zeitpunkt des Holzschlags bereits Vorverjüngung vorhanden ist.
Forscher der Eidgenössischen Forschungsanstalt WSL haben 2020 an zehn Standorten in den Schweizer Alpen das Projekt Gebirgswaldverjüngung gestartet. Dieses soll Erkenntnisse zur Entwicklung der Naturverjüngung im Bergwald liefern und Grundlagen schaffen, um die Naturverjüngung im Gebirgswald langfristig und nachhaltig waldbaulich zu fördern.
Der Schwerpunkt liegt auf hochmontanen Fichten- und Tannen-Fichten-Beständen. Untersucht wird, wie plenterartige Eingriffe unterschiedlicher Stärke die Vorverjüngung fördern können. Gleichzeitig sollen die Versuchsflächen aufzeigen, welche Auswirkungen die forstlichen Eingriffe (Abb. 1) auf die sechs Hauptbaumarten über verschiedene Grössenklassen haben.
Versuchsflächen und Vorgehensweise
Die zehn Versuchsflächen liegen überwiegend hochmontan und repräsentieren typische Gebirgsnadelwälder der Schweizer Alpen (Abb. 2 und 3). Am häufigsten tritt der Hochstauden-Tannen-Fichten-Wald auf, wobei die Bestände stark in Grundfläche (40 bis 63 m²/ha), Vorrat (414 bis 984 m³/ha) und Baumartenzusammensetzung variieren: von fast rein fichtendominierten Beständen in Lauterbrunnen (BE) bis zu tannendominierten in Visp (VS). Bergahorn und Buche erreichen lokal bis zu 15 % Anteil, die Artenvielfalt umfasst fünf bis acht Baumarten pro Fläche.
Zwischen 2021 und 2023 wurden plenterartige Durchforstungen durchgeführt: Ein Drittel jeder Versuchsfläche blieb als Kontrollfläche unbehandelt, auf zwei Dritteln erfolgten Eingriffe unterschiedlicher Stärke. Die Vorgabe war ein starker sowie ein schwacher Eingriff mit einer Entnahme von 30 respektive 20 % der Grundfläche. Diese Vorgabe wurde bisweilen über- respektive unterschritten (siehe Tab.1). Die angewendeten Massnahmen und Rückeverfahren entsprachen dabei üblicher forstlicher Praxis.
Tab. 1: Bestandesmerkmale, Rückeverfahren und Eingriffsstärke auf den zehn Versuchsflächen, mit Vorgaben für die Eingriffsstärke von 30 % (stark) und 20 % (schwach).
Vor den forstlichen Eingriffen vermassen die Forscher einen repräsentativen Anteil der Vorverjüngung (Abb. 4). Die ausgewählten jungen Bäume wurden dabei in vier Klassen eingeteilt:
- Ansamung: älter als 1 Jahr und kleiner als 10 cm
- Anwuchs: 10 bis 39 cm hoch
- Aufwuchs: 40 bis 129 cm hoch
- Nachwuchs: zwischen 130 cm hoch und kleiner als 4 cm Brusthöhendurchmesser
Direkt nach den Durchforstungen erfolgte die erneute Aufnahme der Vorverjüngung, und zwar auf 17 bis 20 Probeflächen pro Standort. Dabei galt eine Fläche als vom Holzschlag «betroffen», wenn mindestens 30 % durch Bodenschürfungen oder Schlagabraum gestört war. Bei den «nicht betroffenen» Probeflächen hat der Holzschlag lediglich zu mehr Seitenlicht geführt.
Die Überlebensrate der Vorverjüngung wurde als Anteil lebender Pflanzen an der Ausgangszahl berechnet. Der Einfluss von Baumart und Grössenklasse auf den Zustand der Verjüngung nach dem Holzschlag wurde mittels linearer Modelle analysiert, um besonders empfindliche Baumarten und Grössenklassen gegenüber dem Holzschlag zu identifizieren.
Details zu den Methoden und den Ergebnissen finden Sie auf der Projekt-Seite.
Drei Viertel der Vorverjüngung überlebte den Holzschlag
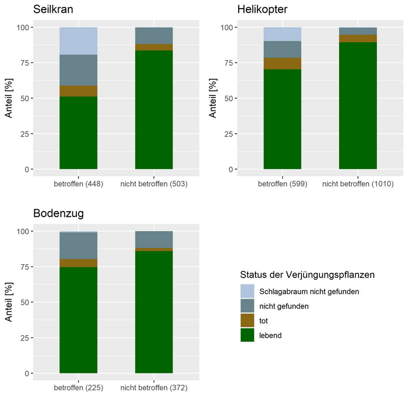
Auf allen Versuchsflächen wurden insgesamt 3157 kleine Bäume markiert und vermessen. Von diesen lebten nach dem forstlichen Eingriff noch 76 % (2461 Pflanzen). 12 % (362 Pflanzen) konnten nicht mehr gefunden werden, 6 % (181 Pflanzen) waren abgestorben, und 6 % (153 Pflanzen) lagen unter Schlagabraum (Abb. 5) und waren dadurch nicht mehr zugänglich.
Zwischen den vom Holzschlag betroffenen und nicht betroffenen Probeflächen zeigten sich deutliche Unterschiede: Auf den nicht betroffenen Probeflächen überlebten 87 % der Pflanzen, auf den betroffenen nur 64 %. Der Anteil nicht gefundener Pflanzen war auf den betroffenen Flächen doppelt so hoch (16 % gegenüber 8 %), ebenso wie der Anteil abgestorbener Pflanzen (8 % gegenüber 4 %). Zusätzlich waren auf den betroffenen Flächen 12 % der Pflanzen unter Schlagabraum verschwunden.
Bei 2477 Verjüngungspflanzen konnte der Verbiss innerhalb des vergangenen Jahres beurteilt werden. Die grosse Mehrheit von 92,9 % zeigte keine Spuren von Verbiss, 4,8 % der Pflanzen waren nur im Winter verbissen, 1 % nur im Sommer, und 1,3 % wiesen sowohl Sommer- als auch Winterverbiss auf. Zusätzlich wurde Sommerverbiss an 16 toten Pflanzen festgestellt. Dies deutet darauf hin, dass ein Teil der Todesfälle auf Verbiss zurückzuführen sein könnte.
Auswirkung des Rückeverfahrens
Die Überlebensrate der Verjüngungspflanzen nach dem Holzschlag variierte stark zwischen Versuchsflächen und Eingriffsstärken. In Pfäfers (SG) überlebten mehr als 85 % der Pflanzen, in Sagogn (GR) nur etwa 60 % (Eingriffsstärke 14/11 % gegenüber 33/25 %, beide Bodenzug). Beim Helikopterabtransport waren die Überlebensraten in Lauterbrunnen, Rougemont (VD), Visp und Wildhaus (SG) hoch (70 bis 80 %), während in Lostallo (GR) trotz geringer Eingriffsstärke nur 40 % überlebten. Gründe dafür könnten wiederkehrende Sommerdürre und hoher Schalenwildbestand sein. Auf den Seilkranflächen (Albula (GR), Flüelen (UR), Ormont-Dessus (VD)) waren die Überlebensraten mit 50 bis 55 % ebenfalls niedrig.
Die Anzahl abgestorbener Pflanzen über alle Rückeverfahren hinweg war vergleichbar, mit leicht geringerer Mortalität beim Bodenzug (Abb. 6). Auf den nicht vom Holzschlag betroffenen Probeflächen variierte die Mortalität zwischen 4 % (Bodenzug) und 8 % (Helikopter) und entsprach der natürlichen und möglicherweise stressbedingten Mortalität innerhalb von ein bis zwei Jahren nach dem Eingriff.
Ein erheblicher Teil der Verjüngung war nach dem Eingriff nicht mehr auffindbar. Vermutlich wurden die Bäumchen entweder beim Rücken ausgerissen und mitgeschleift oder mit Erde überschüttet. Eine andere mögliche Ursache dafür, dass die kleinen Bäume nicht mehr zu finden waren, ist Wildverbiss.
Auf den drei Versuchsflächen im Seilkrangelände lag der Anteil der nicht mehr auffindbaren Bäumchen auf den betroffenen Probeflächen bei 40 %, beim Bodenzug und Helikoptertransport bei rund 20 %. Auf den Seilkran-Flächen befanden sich etwa 20 % der Pflanzen unter Schlagabraum, beim Helikopterabtransport waren es etwa 10%, wobei ein Teil der von Schlagabraum bedeckten Pflanzen in den kommenden Jahren noch durchwachsen könnte. Beim Bodenzug wurden keine Schäden durch Schlagabraum festgestellt.
Hohe Verluste bei Buche, Tanne und Fichte
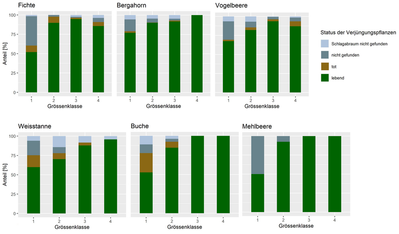
Die Überlebensraten waren bei Vogelbeeren und Bergahornen am höchsten, wobei Bergahorne nach dem Eingriff meist auffindbar blieben und nur geringe Verluste durch Schlagabraum aufwiesen. Im Gegensatz dazu waren viele Buchen abgestorben, während die Todesrate bei der Tanne durchschnittlich war. Vor allem die beiden kleineren Grössenklassen, also Bäume kleiner als 40 cm, waren am häufigsten betroffen, sowohl als tote als auch als verschollene Pflanzen.
Die Kombination von Baumart und Grössenklasse macht deutlich, dass Buchen, Tannen und Fichten unter 40 cm die höchsten Verluste verzeichneten: Buche und Tanne starben häufig ab, während die kleinen Fichten oft nicht mehr auffindbar waren (Abb. 7).
Fazit
Das Holzrücken im Seilkrangelände führte zu den höchsten Verlusten an Vorverjüngung, gefolgt von mittleren Verlusten beim Helikoptertransport und etwas geringeren beim Bodenzug. Dass Bodenzug die geringsten Schäden aufweist, lässt sich unter anderem damit erklären, dass lediglich zwei Flächen untersucht wurden, wobei in Pfäfers die Eingriffe am schwächsten waren (Tab. 1).
Besonders betroffen waren Ansamung und Anwuchs von Tannen, Buchen und Fichten, während Laubbaumarten wie Vogelbeere und Bergahorn weitgehend verschont blieben. Wildverbiss spielte bei den untersuchten Bäumchen eine untergeordnete Rolle, es ist jedoch nicht ausgeschlossen, dass ein Teil der Pflanzen verbissbedingt nicht mehr auffindbar war. Zusätzlich können veränderte Wasser- und Lichtverhältnisse nach dem Eingriff, insbesondere in sommertrockenen Standorten, die Entwicklung der Vorverjüngung verschiedener Baumarten beeinträchtigen.
Zum Schutz der vorhandenen Verjüngung sind aus holzernte-technischer Sicht zwei Faktoren entscheidend: eine situationsangepasste Planung der Fällarbeiten und des Holztransports sowie ein bewusster Umgang mit Schlagabraum.















