Dendroökologische Untersuchungen sollten zeigen, wie die wichtigsten Baumarten des Bergwaldes in der Vergangenheit auf Klimaereignisse reagierten. Es wurden rund 1.800 Bäume auf 52 Flächen in den bayerischen und österreichischen Alpen beprobt. Dabei wurden in vier Höhenstufen an überwiegend südexponierten Karbonatstandorten die wichtigsten Bergmischwaldbauarten Fichte, Tanne, Buche, Lärche und Kiefer herangezogen.
Die Jahrringbreiten der rund 4.000 mittels Zuwachsbohrer entnommenen Bohrkerne wurden im Jahrringlabor gemessen und die Daten anschließend mit den gängigen statistischen Verfahren ausgewertet. Im Vordergrund standen folgende Fragen:
- Wie reagieren die Bergwaldbaumarten auf Trockenjahre?
- Gibt es baumartenspezifische Reaktionsmuster?
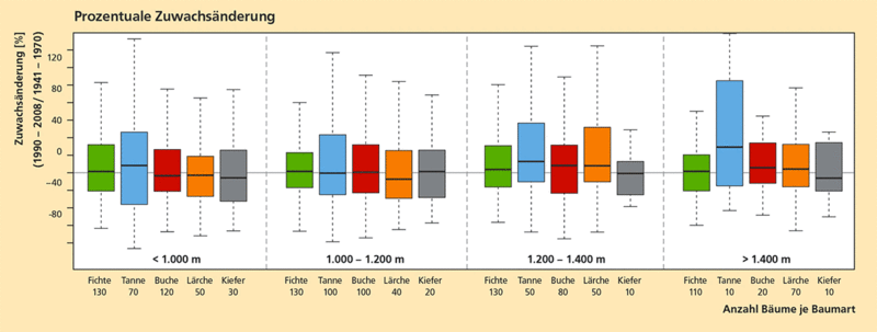
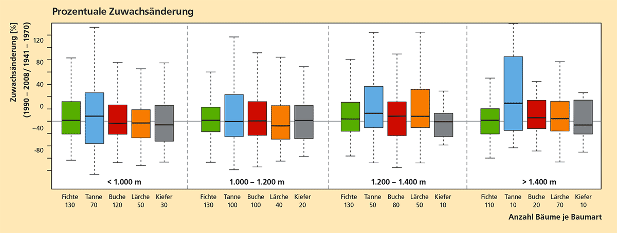
- Lassen sich bereits Zuwachsänderungen aufgrund der eingetretenen Temperaturerhöhung der letzten Jahrzehnte (Abb. 2) nachweisen?
Basierend auf Niederschlags- und Temperaturwerten wurden die Jahre 1947, 1992 und 2003 als die trockensten Jahre im Untersuchungsgebiet identifiziert.
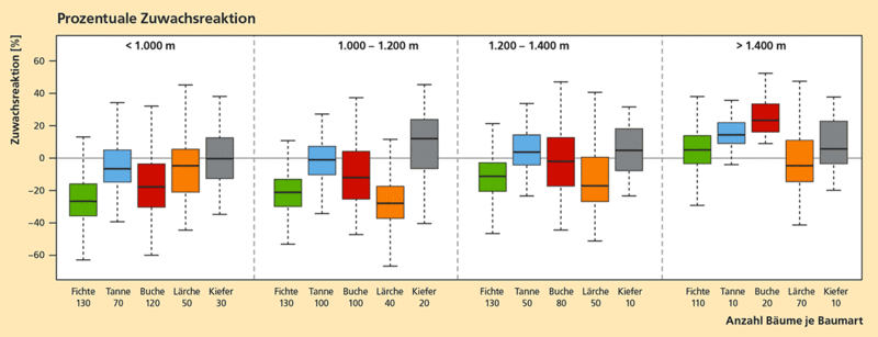
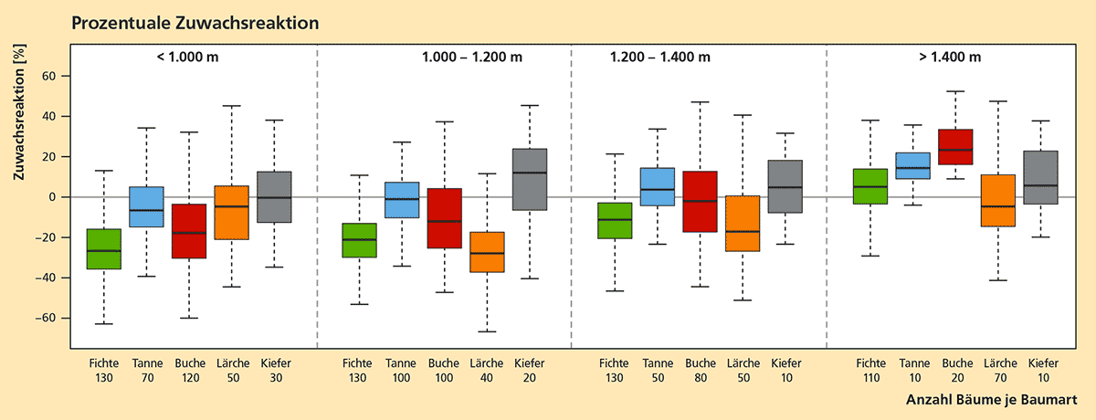
Reaktion auf Trockenjahre
Abb. 3 zeigt die prozentuale Veränderung des Radialzuwachses der verschiedenen Baumarten in den Trockenjahren 1947, 1992 und 2003 im Vergleich zu den jeweils fünf vorhergehenden Jahren. Innerhalb der verschiedenen Höhenstufen zeigen sich deutliche Unterschiede zwischen den Baumarten.
| Höhenstufe < 1.000 m | Höhenstufe 1.000 – 1.200 m | Höhenstufe 1.200 – 1.400 m | Höhenstufe > 1.400 m | |
| Fichte | stärkste Zuwachseinbußen | höchste Zuwachseinbußen nach Lärche, geringer als bei tieferer Höhenstufe | keine nennenswerten Zuwachsrückgänge, nach Lärche Baumart mit den relativ höchsten Einbrüchen | Zuwachsanstieg in warm-trockenen Jahren, überwiegend positive Reaktionen |
| Tanne | kaum Reaktion | keine nennenswerten Reaktionen | keine nennenswerten Zuwachsrückgänge | Zuwachsanstieg in warm-trockenen Jahren, profitiert mit am stärksten (aber: Stichprobenzahl wegen Grenze der Höhenverbreitung gering) |
| Buche | deutliche Einbrüche, aber sehr unterschiedliche Reaktionen in der Höhenstufe | Tendenzen wie bei Fichte | keine nennenswerten Zuwachsrückgänge | Zuwachsanstieg in warm-trockenen Jahren, profitiert mit am stärksten (aber: Stichprobenzahl wegen Grenze der Höhenverbreitung gering) |
| Lärche | geringste Reaktion | deutlichste Einbrüche, vermutlich durch Lärchenwickler überprägt | keine nennenswerten Zuwachsrückgänge | große Variation ohne deutliche positive oder negative Tendenz |
| Kiefer | geringste Reaktion | scheint von warm-trockenen Ereignissen zu profitieren | keine nennenswerten Zuwachsrückgänge | Zuwachsanstieg in warm-trockenen Jahren, überwiegend positive Reaktionen |
Über alle Höhenstufen hinweg zeigen Tanne und Kiefer die geringsten Reaktionen auf Trockenjahre. Bei der Buche sind geringere Zuwachseinbußen zu erkennen als bei der Fichte. Auch die Einbrüche der Fichte sind absolut gesehen verhältnismäßig gering. Die Reaktionen der Lärche lassen sich nicht allein mit Klimasignalen erklären. Hier überlagern vermutlich der Fraß des Lärchenwicklers und dessen Auswirkungen das Klimasignal.
Auffallend ist zudem, dass die Reaktion der Einzelbäume auch innerhalb einer Baumart und Höhenstufe stark schwankt. So reagieren beispielsweise auch einzelne Fichten in den Tieflagen positiv auf Trockenjahre, obwohl die Baumart insgesamt mit signifikanten Zuwachsrückgängen reagiert. Die hohe Streuung gilt für alle untersuchten Baumarten und deutet auf ein hohes Anpassungspotenzial hin.
Auswirkungen des Temperaturanstiegs seit 1990
Die Temperatur ist seit den 1990er Jahren im Mittel um rund 1 °C in der Vegetationsperiode angestiegen. Dennoch lassen sich bei keiner Baumart Zuwachsänderungen verglichen zur Referenzperiode 1941-1970 nachweisen (Abb. 4). Bei den Einzelbäumen zeigt sich eine breite Streuung, wobei alle Boxplots die Nulllinie (d.h. keine Zuwachsänderung) umfassen. Bei den untersuchten Bäumen sind damit weder Zuwachseinbußen in den tieferen Lagen noch Zuwachsgewinne in den Hochlagen erkennbar.
In der zeitlichen Entwicklung der Jahrringzuwächse wechseln sich bei allen Baumarten Phasen mit unter- und überdurchschnittlichem Jahrringzuwachs ab. Alle Baumarten, auch die Fichte in den tieferen Lagen, weisen ein hohes Regenerationspotenzial auf und vermögen vorrübergehende Zuwachsrückgänge innerhalb weniger Jahre auszugleichen. Das spricht für eine gute Anpassungsfähigkeit der untersuchten Baumarten im Rahmen der bisher aufgetretenen Klimaänderung.
Zusammenfassung und Fazit
Die Radialzuwächse aller Bäume sind auf den untersuchten flachgründigen Karbonatstandorten gering. Eine wichtige Rolle bezüglich der Vitalität der Wälder spielt hier die Ernährungssituation. Daher sind Maßnahmen, die die Bodenfruchtbarkeit erhalten können, beispielsweise das Belassen von Biomasse im Wald, von zentraler Bedeutung.
Die untersuchten Baumarten des Bergmischwaldes sind dennoch vital und können die bisher aufgetretenen Klimaextreme gut abpuffern. In Höhenlagen ab 1.200 Meter dürften die Baumarten vom Temperaturanstieg sogar profitieren. Bewegt sich die Klimaänderung im Rahmen der Prognosen, können wir auch in Zukunft mit den bisherigen Baumarten des Bergmischwaldes weiterarbeiten. Dennoch bleibt – insbesondere in Fichtenwäldern – die Gefahr von katastrophalen Sturm- oder Insektenereignissen. Deshalb sind eine rechtzeitige Vorausverjüngung sowie eine intensive Borkenkäferüberwachung und -bekämpfung wichtig.
Die stärksten Reaktionen auf Trockenheit zeigt in den unteren Höhenlagen die Fichte. Hier sollten im Zuge der Risikovorsorge daher verstärkt andere Baumarten beteiligt werden. Sehr vital war auf den untersuchten Standorten die Tanne. Sie zeigte kaum Reaktionen auf Extremjahre. Die Tanne verstärkt zu beteiligen ist aufgrund der Stabilität der Bergwälder hinsichtlich des Klimawandels empfehlenswert.
Die fehlende Reaktion auf die Temperaturerhöhung seit 1990 zeigt, dass sich die Veränderungen im Bergwald eher langsam vollziehen werden. Das verbessert die Chancen labile Fichtenbestände erfolgreich zu stabilisieren.







