Mit den fortschreitenden Auswirkungen des Klimawandels wächst auch die Bedeutung der kontinuierlichen Überwachung unserer Wälder. Extreme Wetterereignisse, Schädlinge und deren Wechselwirkungen stellen neue Herausforderungen dar. Eine frühzeitige Erkennung von Stressfaktoren ist entscheidend, um sicherzustellen, dass unsere Wälder auch in Zukunft ihre vielfältigen ökologischen, wirtschaftlichen und sozialen Funktionen erfüllen können.
Neue Ansätze zur Bewertung der Baumvitalität
Bei der Einschätzung des Zustands von Bäumen spielt die Vitalität eine wichtige Rolle. Sie bestimmt letztendlich, wie erfolgreich ein Organismus unter den gegebenen Umweltbedingungen gedeihen und überleben kann. Blattgrün, relative Blattgröße und Belaubungs- bzw. Benadelungszustand sind die wichtigsten Parameter, mit denen sich die Vitalität bei einfacher äußerer Betrachtung einschätzen lässt. In den Blättern findet die Photosynthese statt. Deshalb ist die Blattmasse ein Weiser für die Lebenskraft eines Baumes. Dementsprechend können Blattverfärbung und Belaubungsdichte durchaus Parameter zur Vitalitätsansprache sein. Prinzipiell ist die Einschätzung der Vitalität aber eine “relative” Ansprache, also eine Einschätzung, die im Vergleich stattfindet mit Bäumen derselben Art, der entsprechenden Entwicklungsphase und eines ähnlichen Standorts.
Für die regelmäßige Einschätzung des Vitalitätszustands unserer Wälder und eine frühzeitige Detektion von Veränderungen wird in Deutschland jährlich seit 1984 die WZE als terrestrische Inventur an festgelegten Punkten durchgeführt. Dabei beurteilen Fachleute visuell von Mitte Juli bis Mitte August den Kronenzustand der Waldbäume. Zentraler Beurteilungsmaßstab ist die Verlichtung der Kronen im Vergleich zu einer voll belaubten bzw. benadelten Krone. Die Abweichung von einer vollständigen Belaubung wird in 5 %-Stufen geschätzt. 0 % Verlichtung bedeutet eine voll belaubte Krone. 40 % Verlichtung bedeutet: Gegenüber einer voll belaubten Krone fehlen 40 % der Blattmasse bzw. es sind nur 60 % der normalerweise zu erwartenden Blattmasse vorhanden.
Dieser Ansatz hat sich bewährt und liefert wertvolle Zeitreihendaten. Als nachteilig erweist sich allerdings der jährliche hohe Arbeits- und Kostenaufwand für die Bundesländer sowie die subjektive Komponente der Vitalitätseinschätzung, die trotz der stetigen Kalibrierung der Fachleute in Schulungen im Rahmen der WZE nicht ganz auszuschalten ist.
In den letzten Jahrzehnten hat sich die Technologie unbemannter Luftfahrzeuge (UAVs) und der Datenauswertung rasant entwickelt und bietet vielseitige Einsatzmöglichkeiten in der Forstwirtschaft. Dazu gehören auch UAV-basierte Ansätze, die zur Einschätzung der Vitalität von Waldbäumen entwickelt wurden. Meist nutzen diese das Reflexionsverhalten der lebenden, oberirdischen Biomasse zur Berechnung spektraler Vegetationsindizes, die Rückschlüsse auf die Vitalität sowie deren zeitliche Veränderungen ermöglichen sollen. Oft fehlt jedoch ein eindeutiger Zusammenhang zwischen reflektierter Strahlung und Baumart. Weiterhin beschreiben zahlreiche Studien großflächige Änderungen von Vegetationsindizes, ohne eine Beziehung zum Vitalitätszustand der Waldflächen oder Einzelbäumen wissenschaftlich zu belegen.
Das Projekt WZE-UAV
In dem Gemeinschaftsprojekt “WZE-UAV” der LWF und der Hochschule Weihenstephan-Triesdorf (HSWT) sollten anhand hochaufgelöster Drohnendaten diese Schwächen überwunden und ein objektiver, kostengünstiger und operationalisierbarer Ansatz zur regelmäßigen Einschätzung der Vitalität von Waldbäumen entwickelt werden. Hierzu wurden 2020 erstmalig 263 der 314 WZE-Trakte mit einer Drohne der Firma DJI (P4-Multispectral) in 100 m über Grund beflogen und Multispektralaufnahmen mit den Spektralbändern Blau, Grün, Rot, Red-Edge und Nahes Infrarot (NIR) mit einer Bodenauflösung von 5 cm/Pixel angefertigt (Abbildung 1). Hierfür wurden wiederverwendbare Flugpläne erstellt und die Befliegung durch speziell geschulte Drohnenpiloten mit einer Tagesflugleistung von acht bis zehn WZE-Trakten durchgeführt. Die gewonnenen Luftbilder wurden im Zuge von Stapelverarbeitungsprozessen mithilfe der Software Agisoft Metashape zu Orthophotos und digitalen Oberflächenmodellen verarbeitet.
Zusätzlich wurden die Waldklimastationen Freising und Ebersberg in den Vegetationsperioden 2020 und 2021 nahezu wöchentlich mit der gleichen Technologie beflogen, um den phänologischen Aspekt und Witterungseinflüsse auf das Reflexionsverhalten und abgeleiteter Vegetationsindizes zu untersuchen.
Datenprozessierung
Zu Beginn der Datenprozessierung wurden die terrestrisch ermittelten WZE-Daten, insbesondere der Kronenzustand und die Baumart, den einzelnen Baumkronen in den Orthophotos zugeordnet. Dieser einmalig stattfindende, aufwändige Arbeitsschritt war notwendig, da die terrestrische Einmessung der Inventurpunkte in Bayern mit der GNSS-Gerätetechnik der Jahre 2011/2012 unter Kronenschirm in zahlreichen Fällen zu einem nicht tolerierbaren Lageversatz geführt hat. Nach Lageprüfung und Korrektur wurden die Kronen der Einzelbäume in den Orthophotos visuell geprüft und anschließend manuell definiert.
Zur weiteren, automatisierten Verarbeitung der Einzelbaumdaten wurde das Python-Tool “findatree” entwickelt, welches unter Verwendung des berechneten Kronenoberflächenmodells (CHM) Bildausschnitte der terrestrisch aufgenommenen Bäume erzeugt. Diese wurden in einem weiteren Arbeitsschritt zur artspezifischen Charakterisierung des Kronenzustands mithilfe des sog. Efficient-Netzes (EfficientNet-B7) verwendet. Hierbei handelt es sich um ein Convolutional Neural Network (CNN), eine spezielle Art von KI-Modell zur Bildklassifikation, das gute Klassifizierungsergebnisse bei gleichzeitig vergleichsweise geringer Trainingsdatenverfügbarkeit und Rechenkapazität erbringen kann. Die Daten wurden in Trainings-, Validierungs- und Testdatensatz getrennt. Um die relativ geringe Anzahl der verfügbaren Bilder zu berücksichtigen und ein sogenanntes “overfitting” zu vermeiden, wurden die Trainingsdaten künstlich erweitert. Dabei wurden die Bilder zufällig zwischen 0 und 360 Grad rotiert sowie zufällige, horizontale und vertikale Spiegelungen mit einer Wahrscheinlichkeit von 50 % vorgenommen.
Die Güte des resultierenden CNNs wurde anhand des Nadel- bzw. Blattverlustes (NBV) der terrestrisch aufgenommenen Bäume bewertet. Diese wurden in drei Klassen eingeteilt: Gesunde Bäume (0–25 % Entlaubung), gestresste Bäume (26–95 % Entlaubung) und abgestorbene Bäume (96–100 % Entlaubung). Eine vier- und fünfteilige Klassifizierung, vergleichbar mit dem Ansatz der Waldzustandserhebung, wurde zwar getestet, aber vor allem aufgrund einer zu geringen Anzahl an Beispieldaten zum Zeitpunkt der Projektfertigstellung verworfen. Die Kombination der Schadstufen mit der Zuordnung der Hauptbaumarten ergab die finale Klasseneinteilung in insgesamt elf unterschiedliche Klassen.
Klassifizierung nach Baumarten
Abbildung 3 zeigt die spektralen Signaturen eines gesunden, eines kranken sowie eines abgestorbenen Baumes auf der Waldklimastation Ebersberg. Zu erkennen ist eine große Bandbreite im Wertespektrum sowie kein einheitlicher Verlauf der Signaturwerte, insbesondere bei Betrachtung der RGB-Bänder im optisch sichtbaren Wellenlängenspektrum. Die hier exemplarisch dargestellten Werte konnten dahingehend verallgemeinert werden, dass Zeitreihenbetrachtungen sehr wichtig erscheinen, um das mit Einzelaufnahmen verbundene Rauschen der Signaturwerte, welches auch abhängig ist von der Beleuchtungssituation der Aufnahme (Tageszeit/Bewölkung) zu minimieren und eine zutreffende Klassenzuordnung zu erzielen.

Abb. 3: Orthophotoausschnitte sowie dazugehörige Spektralsignaturen für zwei Befliegungszeitpunkte für drei Fichten an der bayerischen Waldklimastation Ebersberg mit unterschiedlicher Vitalitätsstufe. a: Am 28. August 2020 erscheint die befallene Fichte (lila) noch gesund und auch die spektrale Signatur weist noch keine deutlichen Unterschiede zu einem gesunden Baum auf. b: Am 11. September 2020, nur knapp zwei Wochen später, hat sich die befallene Fichte bereits deutlich verfärbt und auch die spektrale Signatur hat sich der eines toten Baumes angeglichen.
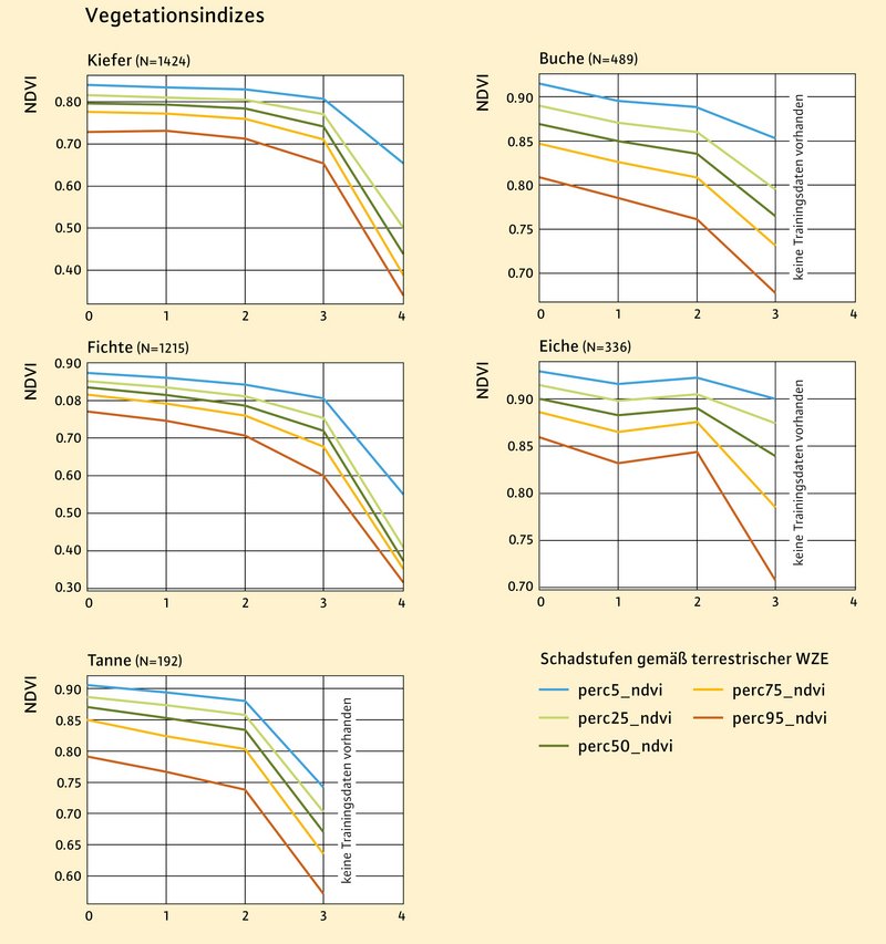
Die statistische Auswertung der Daten der WZE-Punkte erfolgte für die Hauptbaumarten(gruppen) Fichte, Kiefer, Tanne, Buche und Eiche (Quercus spec). Auf Einzelbaumebene wurden jeweils mehrere Vegetationsindizes (NDVI, NDVRI, GRVI, NDRE) berechnet. Diese sind weniger empfindlich gegenüber wechselnden Beleuchtungsbedingungen, da sie relative Unterschiede in der Reflexion nutzen und so Lichtschwankungen besser ausgleichen können. Dies erweist sich insbesondere bei Anwendung auf Zeitreihendatensätze als vorteilhaft, da unterschiedliche Aufnahmezeitpunkte dadurch zuverlässiger miteinander verglichen werden können. Über alle betrachteten Baumarten(gruppen) hinweg konnte festgestellt werden, dass die Indexwerte der Vegetationsindizes eng mit den Schadstufen der terrestrischen Inventuren korrelieren und entsprechende Vitalitätsunterschiede aufzeigen, wobei die Korrelationen bei Fichte, Tanne und Buche stärker ausgeprägt waren als bei Kiefer und Eiche (Abbildung 4).

Abb. 4: Die Graphen zeigen die Entwicklung des Vegetationsindex NDVI für die Schadstufen (SST, 0 bis 4) der terrestrischen WZE auf Einzelbaumebene. Für jede Baumart wird der Verlauf der Indizes in verschiedenen Perzentilen (5., 25., 50., 75. und 95. Perzentil) dargestellt, um die Verteilung der Vegetationswerte bei unterschiedlichen Stressniveaus zu verdeutlichen. Die Werte der Vegetationsindizes nehmen in den meisten Fällen mit steigender Schadstufe ab, was auf eine Verschlechterung der Vitalität hinweist. Die Stärke dieser Veränderungen variiert zwischen den Baumarten, wobei z. B. Fichte und Tanne stärkere Abnahmen der Indexwerte aufweisen als Kiefer und Eiche. Die Perzentile verdeutlichen zusätzlich die Variabilität innerhalb der Indexwerte bei den verschiedenen Stressniveaus. Weiterhin wird deutlich, dass die verschiedenen Vegetationsindizes je nach Baumart unterschiedlich stark auf die Schadstufen reagieren.
Unter Nutzung der hochaufgelösten UAV-Daten mit allen fünf Spektralbändern (R-G-B-RE-NIR) gelang es, die Baumarten Fichte, Tanne und Kiefer sowie Buche und Eiche mit sehr hoher Genauigkeit automatisch nach den Parametern Baumart und Vitalitätsstufe zu klassifizieren. Bei Berücksichtigung der Vitalitätsstufe konnten F1-scores zwischen 0,51 (Kiefer gesund) und 0,81 (Fichte gesund) erzielt werden (Abbildung 5). Abgestorbene Bäume konnten mit einem F1-score von 0,97 sehr treffgenau unterschieden werden. Bei Nichtberücksichtigung des Parameters Vitalität lagen die F1-Scores zwischen 0,77 (Tanne) und 0,95 (Fichte), was gute Klassifikationsergebnisse sind (Abbildung 6). Die Autoren verweisen auf Ecke et al., (2024) für detailliertere Einblicke zu den hier präsentierten Ergebnissen.
Weiterentwicklung bis zur Praxisreife
Die Befliegung der Punkte des WZE-Netzes wurde über die Projektlaufzeit hinaus in Bayern jährlich fortgesetzt und auf nahezu alle Punkte des WZE-Netzes in Bayern (inkl. dem Alpenraum) erweitert. Die bisher letzte Befliegung fand im Sommer 2024 statt. Zwischenzeitlich liegt für Bayern ein Datensatz vor, der für verschiedene digitalisierte Auswertungsansätze zur Ermittlung der Vitalität von Waldbäumen - aber auch zur Ermittlung von Forstinventurparametern im wissenschaftlichen Kontext - Anwendung finden kann. Der Aufwand für die UAV-Befliegungen erwies sich als vergleichsweise gering, ist allerdings durch die wegfallende Sichtflugbefreiung für Behörden im Jahr 2022 deutlich gewachsen, da seither für Waldtrakte meist mehr als ein Start und eine Landung pro Trakt notwendig sind. Wünschenswert wäre eine Vereinfachung der rechtlichen Reglementierung für Flüge mit niedrigem “Ground Risk” über unbewohnten Waldflächen.
Die LWF plant eine Fortführung der Befliegungen des bayerischen WZE-Netzes, um den vorgestellten Ansatz weiter zu evaluieren und zur endgültigen Praxisreife zu entwickeln. Die wertvollen Zeitreihendaten stehen für weitergehende, wissenschaftliche Auswertungen mit lokalen Lageinformationen zur Verfügung.
Zusammenfassung
Im Rahmen des Projektes WZE-UAV wurde ein Ansatz entwickelt, um die Vitalität von Waldbäumen aus Drohnendaten anhand von Vegetationsindizes zu bestimmen. Das Verfahren wurde auf Einzelbaumebene für die gleichen Bäume der terrestrischen Waldzustandserhebung (WZE) durchgeführt und verglichen. Es hat sich gezeigt, dass bei Anwendung von hochaufgelösten Drohnendaten eine sehr genaue, automatisierte Baumarten(gruppen)klassifikation möglich ist. Bei Anwendung von drei Vitalitätsklassen (vital, geschädigt, abgestorben) konnten sehr gute Übereinstimmungen mit den Ergebnissen der terrestrischen WZE erzielt werden. Bei der Anwendung der übereinstimmenden Klassengrenzen der terrestrischen WZE waren die Abweichungen für die Klassen geschädigter Bäume groß und ließen keine exakte Unterscheidung zu. Der Ansatz wird seit 2020 kontinuierlich in Bayern angewendet und weiterhin, insbesondere durch Vergrößerung der Trainingsdatenbasis, verfeinert.
Das Projekt "WZE-UAV" wurde vom Bayerischen Staatsministerium für Ernährung, Landwirtschaft, Forsten und Tourismus (StMELF) finanziert.








