
Abb. 1: Baumkrone einer gering geschädigten Esche im Nationalpark Donau-Auen. Foto: V. Neidel /BFW
Die Gemeine Esche, Fraxinus excelsior, galt bis vor etwa 20 Jahren als eine wichtige und wertvolle Laubbaum-Art in weiten Teilen Europas. Das Eschentriebsterben, verursacht durch den aus Ost-Asien stammenden Pilz Hymenoscyphus fraxineus (Eschen-Stengelbecherchen), hat allerdings seit seiner Einschleppung dazu geführt, dass die Eschenbestände in Europa stetig zurückgegangen sind.
Laut österreichischer Waldinventur 2007/09 (ÖWI) war die Esche im Ertragswald, nach der Rotbuche, die zweithäufigste Baumart, bezogen auf die Stammzahl. Gemessen in Vorratsfestmetern (Vfm), war die Esche auf Platz 3, hinter Rotbuche und den Eichen. Auch heute belegt die Esche im Ertragswald laut Waldinventur 2018/23 noch den 3. Platz, bezogen auf Vorratsfestmeter, sie wurde aber hinsichtlich der Stammzahl bereits von Ahorn und Hainbuche auf den 4. Platz verwiesen. Ein Grund dafür: Neben dem Zurücksterben der Bäume werden Eschen verstärkt genutzt.
Ein wichtigster Verbreitungsschwerpunkt der Esche sind Hartholz-Auwälder, wie etwa im Nationalpark Donau-Auen. Dieser erstreckt sich vom 22. Wiener Gemeindebezirk entlang der Donau durch das östliche Niederösterreich bis zur österreichischen Staatsgrenze und bildet die größte zusammenhängende, nahezu unveränderte Flussauenlandschaft in Mitteleuropa. Der Nationalpark umfasst 9.600 Hektar, davon sind 63,0 % bewaldet. Hier kommt die Gemeine Esche bestandesbildend vor. In der Naturrauminventur der Erhebungsperiode 2018/19 war sie, gemessen an der Stammzahl, die häufigste Gehölzart in der Baumschicht (16,3 %).
Eschenmonitoring
Seit 2016 führen Mitarbeiter:innen der Abteilung Phytopathologie vom Institut für Waldschutz des BFW alle zwei Jahre ein Eschenmonitoring auf Flächen der österreichischen Bundesforste im niederösterreichischen Teil des Nationalparks durch. Zuletzt konnte im Rahmen des Projektes „Ökologie und Artenschutz im Nationalpark Donau-Auen“ (761A-2021-54), gefördert durch Bund, Länder und Europäische Union (LE 2014-20), das Monitoring 2022 und 2024 stattfinden. Dabei wurde versucht, Eschen mit erhöhter Toleranz gegenüber dem Krankheitserreger zu identifizieren und die Dynamik des Eschentriebsterbens in nahezu ungestörten Waldökosystemen zu erforschen.
Das Monitoring startete 2016 mit 500 Bäumen in Beständen mit einem Eschenanteil über 70 %. Da Eschen-Reinbestände in Österreich eher eine Besonderheit sind, wurden zwei Jahre später zehn weitere Flächen (200 Eschen) mit einem maximalen Eschenanteil von 40-50 % in das Monitoring aufgenommen. Auf jeder Untersuchungsfläche wurden im Jahr der Einrichtung 20 Eschen markiert, um deren individuelle Entwicklung nachvollziehen zu können.
Für die Beurteilung der Kronenschädigung wurde der Prozentanteil des zurückgestorbenen Kronenvolumens geschätzt und in eine von sechs Schadklassen eingeteilt. Für die Stammbasis wurde neben dem Vorhandensein von Wurzelhalsnekrosen (abgestorbenes Gewebe an der Stammbasis) auch das Ausmaß derselben als Prozentanteil des Stammumfanges erfasst.
Reinbestände sind stärker geschädigt als Mischbestände
Berücksichtigt man alle 700 Eschen, gab es in den Reinbeständen eine Überlebensrate von 53 % über die acht Jahre hinweg, in den Mischbeständen waren es 79 % nach sechs Jahren. Die Beimischung anderer Baumarten ist daher eine nicht zu unterschätzende waldbauliche Maßnahme zum Erhalt der Esche. Besonders auffällig war, dass der Anteil an Eschen mit geringer Kronenschädigung (<10% des Kronenvolumens zurückgestorben) seit Beginn des Monitorings relativ stabil geblieben ist.

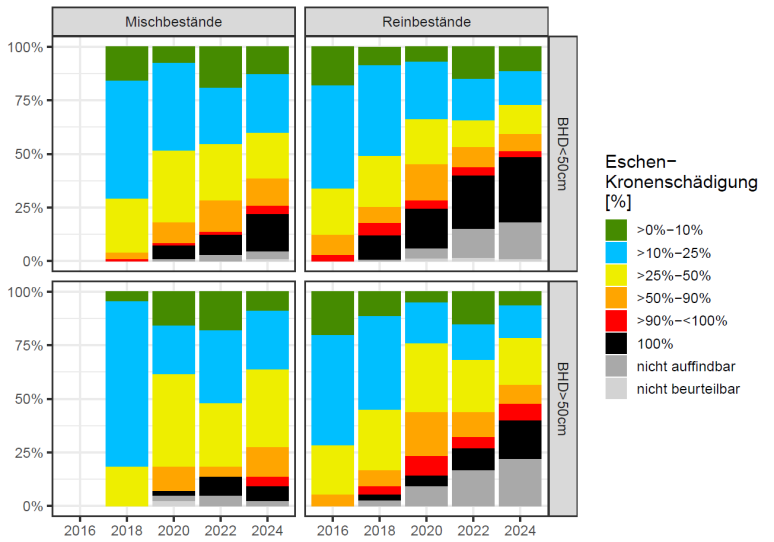
Abb. 2: Verteilung der vergebenen Kronenschadklassen der Eschen in den einzelnen Monitoring-Jahren, aufgeteilt in Rein- und Mischbestände sowie Brusthöhen-Durchmesser (BHD) größer oder kleiner als 50 cm. Grafik: BFW
Die Schwankungen zwischen den Jahren (Abb. 2) lassen sich anhand der Krankheitsdynamik erklären: Das Eschentriebsterben weist einen jährlichen Zyklus von Neuinfektionen auf. Der Erreger bildet infektiöse Ascosporen in den Fruchtkörpern, die hauptsächlich an den Blattspindeln in der Bodenstreu gebildet werden. Diese werden mit dem Wind verbreitet und können so jedes Jahr aufs Neue zu Infektionen in der Krone und an der Stammbasis führen. Bedingt durch den Witterungsverlauf im jeweiligen Jahr, kann der Infektionsdruck zwischen den Jahren schwanken. Da Eschen häufig Neuaustriebe bilden und tote Äste mitunter herunterbrechen, kann auch das zu bewertende Kronenvolumen zwischen den Jahren variieren.
Etwa 4 % der Eschen weisen eine erhöhte Toleranz auf
Bemerkenswert ist, dass gesund aussehende Bäume eine Tendenz haben, gesund zu bleiben. In den Mischbeständen waren 33 % der Bäume, die 2018 eine Kronenschädigung von unter 10 % aufgewiesen hatten, auch 2024 noch in der besten Schadklasse. Weitere 48 % waren in der zweitbesten Schadklasse (10-25 %). Demnach hatten 81 % der eingangs gesunden Eschen nach sechs Jahren immer noch eine Kronenschädigung, die weniger als 25 % des Kronenvolumens betraf.
Von den Bäumen im Reinbestand, die 2016 in der besten Schadklasse waren, waren 2024 noch 27 % in dieser und 33 % in der nächstbesten Schadklasse. Mehr als die Hälfe der anfangs gesund erscheinenden Bäume (60 %) hatten nach acht Jahren Monitoring immer noch eine Kronenschädigung, die weniger als 25 % des Kronenvolumens betraf.
Etwa 4 % der Eschen hatten über alle Monitoring-Jahre hinweg eine gute bis sehr gute Bewertung der Krone erhalten, und darüber hinaus eine Stammbasis, die frei von sichtbaren Nekrosen oder Stammfäule war. Der vergleichsweise hohe Infektionsdrucks auf den Nationalpark-Flächen weist auf eine erhöhte Toleranz dieser Bäume gegenüber dem ETS-Erreger hin.
Druck für jüngere Bäume besonders kritisch
Stärkere Bäume kommen tendenziell länger mit dem Schaderreger zurecht: Im Mischbestand waren 2024 21 % der Bäume mit einem BHD unter 50 cm nicht auffindbar oder abgestorben, während es bei Bäumen mit einem BHD über 50 cm nur 9 % waren (Abbildung 2). Im Reinbestand waren 48 % der Bäume mit BHD kleiner 50 cm tot oder fehlten, bei Bäumen über 50 cm BHD waren es 40 %.
Obwohl die Naturverjüngung nicht systematisch erhoben wurde, war augenscheinlich, dass junge Eschen erschwerte Bedingungen vorfinden. Während auf 25 der Flächen Jungeschen dokumentiert wurden, erreichten diese lediglich auf zwei Flächen eine Höhe über 1,5 m. Durch den geringen Stammumfang folgt bei Jungpflanzen auf eine Stamminfektion häufig ein rasches Zurück- bzw. Absterben.
Stammbasis-Schädigung und Hallimasch-Arten als bedeutende Folgeschädlinge
Beim Eschentriebsterben muss zusätzlich die Stammbasis angesprochen werden. Im Jahr 2024 hatten in den Reinbeständen 34,9 % der Bäume eine Stammbasisnekrose, in den Mischbeständen 44,0 %. Stammbasis-Nekrosen gelten als Eintrittspforten für sekundäre, holzzersetzende Pilze, wie zum Beispiel Hallimasch-Arten (Armillaria spp.), die als Wurzelfäule-Erreger die Standfestigkeit von Eschen deutlich reduzieren. Bei mindestens 71 % der markierten und bis 2024 abgestorbenen Eschen konnte vor dem Absterben eine Stammbasisnekrose dokumentiert werden. Die Schädigung an der Stammbasis und den Wurzeln beschleunigt maßgeblich auch den Prozess des Absterbens.
Tolerante Individuen auch im Ertragswald gezielt fördern
Obwohl sich der kontinuierliche Rückgang der Eschenbestände auch in einem naturbelassenen Ökosystem wie den Donau-Auen fortsetzt, geben die Daten Hoffnung auf eine langsame Etablierung von krankheitstoleranten Eschenbeständen. Neben der Initiative „Esche in Not“ ist der Erhalt toleranter Individuen in-situ als wesentlicher Beitrag zum Schutz der Esche zu sehen. Aus dem achtjährigen Monitoring lassen sich Maßnahmen für die Erhaltung und Förderung von gesunden Eschen ableiten:
- Eschen mit gering geschädigten Kronen und gesunder Stammbasis sollten unter Berücksichtigung der Verkehrssicherheit erhalten und deren Nachkommen gezielt gefördert werden.
- Die Förderung der Naturverjüngung ist von hoher Bedeutung, da besonders die Jugend eine kritische Phase für das Überleben von Eschen in Anwesenheit des ETS-Erregers darstellt.
- Bei Arbeiten in Eschenbeständen sollte immer beachtet werden, dass von Eschen mit hohem Kronentotholz-Anteil und einer geschädigten Stammbasis ein erhöhtes Risiko von Kronenbruch und Windwurf bzw. Umsturz ausgeht.
Weitere Informationen
- Website des Nationalpark Donau-Auen
- Website der Österreichischen Waldinventur
- Carroll, D. & Boa, E. (2024) Ash dieback: From Asia to Europe. Plant Pathology, 73, 741–759. DOI: https://doi.org/10.1111/ppa.13859

