Mit möglichen energetischen Anwendungen in den Bereichen Elektrizität, Wärme und Treibstoff tragen Biomassen als erneuerbare Energiequellen zur Schweizer Energiewende bei. Untersuchungen der Forschungsgruppe Nachhaltige Forstwirtschaft der WSL zufolge könnte der Beitrag aller Biomassen am Schweizer Energieverbrauch verdoppelt werden. Die bisher vom Waldholz (Derbholz) gelieferte Energiemenge von 17 PJ könnte um zusätzlich nutzbare 9 PJ erhöht werden und einen massgeblichen Beitrag zur Energieversorgung leisten. Diese zusätzliche Energiemenge entspricht umgerechnet dem Energiegehalt von ca. 250.000 Millionen Litern Heizöl (Heizwert von Heizöl = 42,9 MJ/ kg).
In der Regel wird Waldholz immer dann für energetische Zwecke verwendet, wenn es aus technischen, wirtschaftlichen oder anderen gründen nicht der materiellen Verwendung zugeführt werden kann. Durch die steigende Zahl der Holzschnitzelfeuerungen sowie dem Bau grosser Heizkraftwerke steigt die Nachfrage nach Hackschnitzeln kontinuierlich an. Dies geschieht auf Kosten des als Stückholz aufgearbeiteten Brennholzes. Sowohl bei Stückholz als auch bei Hackschnitzeln ist die Nutzung von Waldholz immer mit Transporten verbunden (Abb. 1). Diese kosten, benötigen Energie und verursachen CO2-Emissionen. Wie genau das Waldenergieholz transportiert wird, war Untersuchungsgegenstand einer neunen Studie.

Abb. 1 – Abladen von Hackschnitzeln aus einem LKW-Container. Foto: Vivienne Schnorf
Übliche Transportketten
Aktuelle und verlässliche Informationen zur Situation des Transportes von Waldenergieholz in der Schweiz fehlen. Die Forschungsgruppe der WSL führte deshalb im Frühling 2019 zahlreiche Gespräche und sieben qualitative Interviews mit Branchenexperten durch mit dem Ziel, die wichtigsten Transportketten von Stückholz und Hackschnitzeln zu identifizieren und zu evaluieren. Jeder Experte gab dabei je zwei bis vier verschiedene Transportketten als besonders bedeutsam an. Diese umfassen alle Lade-, Ablade- und Transportprozesse vom Polter an der Waldstrasse bis zum Verbraucher des Energieholzes. Während der Interviews wurden u.a. die transportierten Holzmengen, die eingesetzten Fahrzeuge und die Transportwege und -distanzen erhoben. Letztere wurden von den Experten geschätzt.
Die Resultate zeigen, dass aus Sicht der Befragten vier Transportketten für Stückholz und drei Transportketten für Hackschnitzel am häufigsten praktiziert werden. Es kommt eine achte optionale Transportkette hinzu, wenn Energierundholz an im Winter zugängliche Lagerplätze gebracht wird, um eine kontinuierliche Bereitstellung von Hackschnitzeln zu gewährleisten. Die Transportketten lassen sich nach dem ausführenden Dienstleister (Forstunternehmer, Forstbetrieb, Landwirt oder Privatperson) unterscheiden.
Bei der Transportkette "Stückholz/Forstunternehmer“ durchschnittlich 10 bis 20 km vom Werkhof bis zur Waldstrasse, wo er das gepolterte, kranlange Rundholz mit einem für Rundholz geeigneten LKW mit Kran lädt. Zurück im Werkhof wird dann das Rundholz verarbeitet, bevor es über eine durchschnittliche Entfernung von 5 bis 10 km mit einem Personenwagen mit Anhänger als Stückholz von 33 cm Länge an den Endverbraucher ausgeliefert wird. Die durchschnittliche Liefermenge beträgt drei Ster. Im Gegensatz dazu fährt ein Schweizer Landwirt mit seinem Traktor mit Anhänger über eine durchschnittliche Entfernung von 1 bis 10 km vom Hof bis zur Waldstrasse. Das Holz wird vor Ort aufbereitet und das Beladen erfolgt manuell. Es wird anschliessend über eine Entfernung von 5 bis 10 km direkt an den Verbraucher ausgeliefert.
Umrechnungsfaktoren
| 1 Festmeter | → 1,4 Ster |
| → 2,8 Schüttraummeter | |
| 1 Ster | → 0,40 Tonnen Laubholz |
| 1 Srm | → 0,20 Tonnen Laubholz |
Quelle: Rigger, W. 2008, Hahn, J. et al. 2014
Dagegen ist der Ablauf des Hackschnitzeltransportes anders: In der Regel wird je nach Mengenanfall mit zwei oder mehreren Fahrzeugen zur 5 bis 15 km entfernten Waldstrasse gefahren, wo das Hackholz vom Hacker direkt in die Transportbehälter gehackt wird. Sobald diese vollgeladen sind, fahren die Fahrzeuge die erntefrischen Hackschnitzel von der Waldstrasse zum Endverbraucher. Meistens übernehmen Forstunternehmer den Hackschnitzeltransport, wobei Container-LKW mit Ladekapazitäten von 40 und Sattelauflieger mit 90 Schüttraummetern (Srm) zum Einsatz kommen. Landwirte bieten diese Dienstleistung auch an und führen den Transport mit Traktor und Anhänger (25 Srm) durch. Alle Experten schätzen, dass Hackschnitzel über Entfernungen von 5 bis 30 km zum Abnehmer transportiert werden.
Ermittlung von potenzieller Wertschöpfung, Energieaufwand und CO2-Emissionen
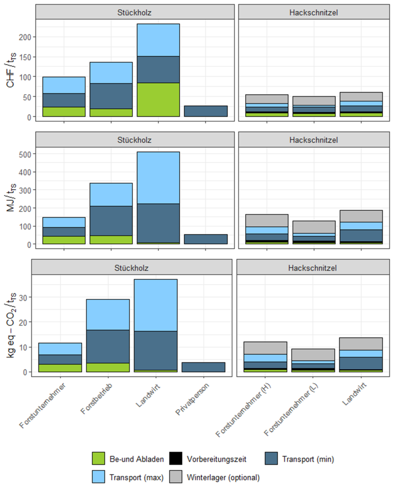
Um abzuschätzen, welche Transportentfernungen für die verschiedenen Transportketten ökonomisch sinnvoll sind, wurden die potenziellen Erlöse den Transportkosten gegenübergestellt. Die Erlöse wurden für Stückholz mit den zu erwartenden Holzpreisen (CHF/Ster) und für Hackschnitzel mit den Energiepreisen (CHF/kWh) berechnet. Die Transportkosten wurden anhand von Maschinenkosten und Personalaufwand geschätzt (Tab. 1).
Tab. 1. Eingangsparameter für die Berechnung der Transportkosten und Erlöse. Quelle: WSL
Darüber hinaus wurde untersucht, wie energieintensiv die verschiedenen Transportketten sind. Dazu wurde der Energiegehalt von Stückholz und Hackschnitzeln dem durch den Transportprozess induzierten direkten Energieaufwand gegenübergestellt. Der Kraftstoffverbrauch wurde nach Fahrzeug, Strassentyp (Waldstrasse, Strasse, innerorts und ausserorts) und Geschwindigkeit berechnet. Für die Berechnungen wurden alle anfallenden Prozesse berücksichtigt, also das Be- und Entladen, der Transport zum Endverbraucher, allfällige Vorbereitungs- oder Wartezeiten sowie leere Rückfahrten.
Unter der Annahme, dass die energetische Verwendung von Stückholz und Hackschnitzeln zu einer Substitution fossiler Energieträger führt, wurden die eingesparten CO2-Emissionen dem beim Transportprozess verursachten Treibstoffverbrauch gegenübergestellt. (Tab. 2).
Tab. 2. Eingangsdaten für die Berechnung von Energieverbräuchen und CO2-Emissionen. Quelle: WSL
Die Berechnungen wurden ebenfalls für Nadelholz durchgeführt, sie sind jedoch aus Gründen der Übersichtlichkeit in diesem Artikel nicht dargestellt, können aber gerne bei den Autoren angefordert werden.
Transportkosten als grösster limitierender Faktor
Obwohl die Transportentfernungen für Stückholz bei den Forstunternehmern am höchsten sind (40 km bis zum Wald und zurück und weitere 15 km bis zum Kunden), gelingt es ihnen offenbar, die Transportkosten von Laubholz knapp unter 100 CHF / tTS zu halten (s. Tab. 2, oben). Damit sind die potenziellen Erträge beim Verkauf des Produktes viermal höher als die Transportkosten. Trotz kürzerer Distanzen haben Forstbetriebe wegen des Einsatzes von weniger effizienten Traktorgespannen gegenüber den LKWs der Forstunternehmer höhere Kosten (bis 136 CHF/tTS ), was dazu führt, dass die Erlöse aus dem verkauften Stückholz nur noch dreimal höher sind als die Transportkosten. Trotz eingerechnetem Anteil an Eigenleistung ergeben sich die höchsten Kosten bei den Landwirten (232 CHF / tTS), nicht nur weil das manuelle Beladen zeitaufwendiger ist, sondern auch weil kleinere Mengen transportiert werden (1 Ster). Das führt dazu, dass die Erlöse nur noch zwei- bis maximal dreimal die Transportkosten decken. Da nur der Einsatz des Fahrzeuges berücksichtigt wird und keine Personalkosten, erreichen Privatpersonen die niedrigsten Kosten (27 CHF / tTS). Hier ist der Erlös zwölfmal höher als die Transportkosten.
Der Transport von Hackschnitzeln kostet deutlich weniger (maximal 28 bis 39 CHF / tTS) als derjenige von Stückholz. Die potenziellen Erlöse fallen fünf- bis neunmal höher aus als die Transportkosten. Die im Durchschnitt tieferen Kosten sind dadurch zu erklären, dass bei Hackschnitzeln grössere Mengen transportiert werden (s. Tab. 1). Trotz kurzen Entfernungen (5 bis 10 km bis zum Endverbraucher) schliesst auch bei den Hackschnitzeln der Landwirt am schlechtesten ab. Muss das Energieholz aber zuerst ins Winterlager gebracht werden, können die Kosten durch diesen zusätzlichen Arbeitsaufwand um bis zu 23 CHF / tTS steigen.
Die Ressource Holz enthält viel Primärenergie: im Durchschnitt 18 GJ Pro Tonne trockenes Laubholz. Betrachtet man die verschiedenen Transportketten aus rein energetischer Sicht, wird deutlich, dass der Energiegehalt von Holz viel höher ist als die direkte für den Transportprozess aufgewendete Energie (s. Abb. 2, Mitte). Der Energieaufwand für den Transport beträgt lediglich zwischen 0,3% und 3% der in der Ressource enthaltenen Primärenergie.
Dass Holz als ein nahezu kohlenstoffneutraler Energieträger gilt, liegt daran, dass bei der Konversion nur soviel Kohlenstoff freigesetzt wird, wie zuvor während des Wachstums gebunden wurde. Würde die durch fossilie Brennstoffe erzeugte Fernwärme mit Stückholz und Holzhackschnitzeln substituiert, und würde importierter Strom mit demjenigen eines Holzheizkraftwerks (WKK) ersetzt, könnten mit einer Tonne trockenem Stückholz 655 kg Äq-CO2 und mit einer Tonne trockener Hackschnitzel bis zu 832 kg Äq-CO2 vermieden werden. Somit wird 17- bis 200-mal so viel CO2 eingespart wie durch den Transport verursacht wird.
Maximale Transportdistanzen
Wenn nur die Transportkosten (für Hin und Rückweg) betrachtet werden, liegt die wirtschaftliche Grenzen für den Transport von Stückholz durch Forstunternehmer bei 110 km, während sie für Forstbetriebe und Landwirte bei 43 km bzw. 47 km liegt. Im Gegensatz dazu könnten Hackschnitzel mit Sattelaufliegern bis zu 470 km transportiert werden, mit Container-LKW bis zu 286 km und mit landwirtschaftlichen Anhängern bis zu 110 km.
Aus energetische und ökologischer Sicht können sich in bestimmten Fällen Transportdistanzen über mehrere hundert Kilometer wirtschaftlich lohnen. Dabei muss aber beachtet werden, dass der hier betrachtete Transporte des Energieholzes auf der Strasse nur einen Teil der Logistikkette darstellt und dass diese Studie daher keine umfassende Lebenszyklusanalyse beinhaltet (zum Beispiel werden der vorgängige Aufwand für waldbauliche Massnahmen oder andere Aufwendungen wie etwa die anteilige graue Energie für die Herstellung und Nutzung von Erntemaschinen nicht untersucht). Grundsätzlich sollte die lokale Nutzung von Waldholz bevorzugt werden.
Schlussfolgerungen
Die Studie bietet quantitative Grundlagen für die Beurteilung des Transportes von Waldenergieholz in der Schweiz. Sie zeigt, dass die Produktion von Hackschnitzeln auch bezüglich des Transportes gegenüber Stückholz Vorteile verspricht: Der Transport von Waldhackschnitzeln ist nicht nur kostengünstiger, sondern auch umweltfreundlicher als der von Stückholz. Die Studie zeigt für die wichtigsten Transportketten auch, dass die Kosten als wichtigster Faktor in der Praxis die Transportdistanzen konkret bestimmen. Aus wirtschaftlicher Sicht sind teilweise grosse Transportdistanzen möglich. Wegen des grossen Energieeinhaltes von Holz ist es grundsätzlich auch aus umweltbezogener Sicht der Energiebilanz und der Bilanz der CO2-Emissionen vertretbar, Stückholz und Waldhackschnitzel über längere Distanzen zu transportieren. Trotzdem fällt die gesamte Umweltbilanz besser aus, wenn der lokal anfallende Rohstoff Energieholz auch möglichst lokal oder regional verwendet wird.





