In the course of forest conversion and as a result of damage on a large scale caused by storms, heat or drought, there is an increased need for the establishment and reafforestation of mixed forests that are suitable for both site and climate. In areas with high densities of hoofed game, young plants must be protected from browsing in the establishment phase by fences, or individually by means of tree tubes. A total of 1.8 million grow tubes were distributed in private and corporate forests in the years 2014 to 2018 under the silvicultural support programme of the Free State of Bavaria, and subsidised to the tune of €2 million.
However, due to the work involved in dismantling them, tree grow tubes are often not removed as waste from the forest, so that their use can result in the introduction of microplastics to the forest ecosystem. For Baden-Württemberg, Hein et al. (2019) have calculated that each year, of the 400,000 commercially available tree tubes made of polypropylene or comparable materials, up to 80 % are not dismantled. The authors state that accordingly, up to 4.5 million tree tubes have remained in forests in this federal state alone in the last 20 years. Funding for grow tubes has therefore become a subject of heated debate, particularly in recent years.
Fig. 1: Trial plots set up in Sailershausen University Forest: a total of 2,016 specimens of sessile oak (Quercus petrea) and wild service tree (Sorbus torminalis) were planted on three disturbed areas, and 1,728 tree tubes were used (top). The microclimatic conditions inside the tree tubes were recorded on each plot, and compared with the control group; a total of 63 sensor systems were used (above bottom right). Photos: TU Dresden
The necessity for tree tubes was justified by the need to establish climate-tolerant mixed forests rapidly and by the targeted introduction of valuable hardwoods, as tree tubes can increase the success of tree establishment if sufficient light is available. This is partly at the expense of stability, however, due to the increased height growth. As a reduction in photosynthetically active radiation (PAR, µm m-2 s-1) of up to 70% has been observed with tree tubes, their use is recommended primarily in open spaces. Here there is a sort of “greenhouse effect”, which should promote growth in the establishment phase.
Given the rise in temperatures in recent decades, however, it remains questionable whether this much vaunted positive microclimatic effect within the tree tube really does favour growth, or whether it in fact leads to damage to the young plants because of heat stress. It should be borne in mind that although shade-tolerant tree species in particular can cope well with the reduced light, they could be negatively affected by the higher temperatures and thus the higher evaporation rates. At leaf temperatures above 40 °C, there may be a sudden increase in the remaining water loss despite closed stomata, which can lead to dehydration of the tissue and ultimately to the dying off of the young plants. Accordingly, it is not surprising that Oliet & Jacobs (2007) recommend a species-specific design or choice of tree tube due to the increased evaporation rates within the tree tubes.
Study plots and methodology
In a field trial in the Sailershausen University Forest of the University of Würzburg, on three disturbed areas, the reduction of photosynthetically active radiation (PAR) in six different types of growth tube was determined, and the air temperature and humidity were recorded in order to determine the air saturation deficit (vapour pressure deficit/VPD) (Figure 1). Three commercially available types of polypropylene tree tube were used, as well as three variants that, according to their manufacturers, are supposed to be biodegradable (Figure 2). A total of 63 sensor systems were installed inside the tubes. In addition, the success of growth within the tree tube types during the establishment phase was to be determined and related to the microclimatic conditions. For this purpose, 48 specimens of the tree species sessile oak (Quercus petrea) and wild service tree (Sorbus torminalis), and 48 control specimens without tree tubes were planted for each tree tube type and site - a total of 2,016 young trees. According to Niinements & Valladares (2006), the shade tolerance of the sessile oak is 2.45 and that of the wild service tree is 3.74 (on a scale of values from 1 (low tolerance) to 5 (high tolerance)). The trees were planted in the period from 12/2021 to 01/2022. Three inventories have been carried out to date (02/2022, 09/2022 and 09/2023). At the time of planting, the young trees of both species had comparable root collar diameters (5.47 mm) and heights (32.10 cm).
Microclimatic conditions
On average, 2022 was 1.34 °C warmer than 2023 during the vegetation period from 1 May to 31 August (Figure 3a). This correlated with higher light levels and a higher level of atmospheric dryness in 2022. The microclimatic conditions in the various tree tubes differed significantly from the control conditions in some cases (averaged over 2022 and 2023). The interiors of four of the six types of tree tube (H, PLA, PP1, PP2; see Figure 2) received an average of 26 % of the radiation received by the control group, whereas the paper tree tubes (P) received only 6 % and the transparent Ventex Clear plastic tubes (PP3) received an average of 78 % of the control group's radiation (Figure 3b). Looking at the daily maximum of photosynthetically active radiation (PARmax), the Dendron wooden tree tubes (H) reached on average 77 %, the Ventex Clear plastic tubes (PP3) 72 %, the polypropylene tree tubes SG (PP1) and Microvent (PP2) 66 %, the BioWit Classic polyactide tree tube 23 % and the BioWit NT Natur paper tree tube 11 % of that of the control group (Figure 3c).
With the determined air temperature (Tmean) and the air saturation deficit (VPDmean), two groups could be identified over both vegetation periods. The biodegradable paper and wooden tree tubes were similar to the control group, while significantly higher values were achieved in the plastic tree tubes (Figure 3b). These differences were even more extreme when only the daily maximum was taken into account for the same study period (Figure 3c).
Growth behaviour of one shade-intolerant and one shade-tolerant tree species during the establishment phase
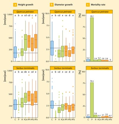
After two vegetation periods, the sessile oak saplings showed an average root collar diameter increment of 78.4 % (9.39 mm) and an average height increment of 204.6 % (95.8 cm), while the wild service tree saplings showed an average diameter increment of 70.7 % (9.67 mm) and an average height increment of 233.5 % (109.2 cm). Significant differences between the tree tube types were found for both tree species (Figure 4a,b).
On average, the height increment of the sessile oak in the four plastic tree tubes was 91.2 % higher than that of the control group (406.07 mm/a versus 211.72 mm/a). The increment values were 3.3 % lower for the Dendron wood tree tube (205.14 mm/a) than for the control group, while the height increment for the paper tree tubes (7.03 mm/a) was lower than the control group by as much as 96.7 %. For the wild service tree, the average height increase in the four plastic tree tubes was 51.6 % (420.08 mm/a) above that of the control group and for the Dendron wooden tree tube 15.8 % (320.95 mm/a) above that of the control group (277.08 mm/a), while the height increment with the paper tree tube reached just 24.6 % of the increment of the control group (68.23 mm/a). Our results thus confirm numerous studies that have found increased height growth in deciduous trees in tree tubes (Ponder 2003; Abe 2022).
By contrast, the differences in the average increase in root collar diameter were less pronounced. For both sessile oak and wild service tree, the growth increment in the tree tubes was lower than in the control group, but with differences between the types of tree tube. With the sessile oak, the increments in the tree tube types, with the exception of the paper tree tube, were around 2.03 mm/a, i.e. an average of 29.3 % below that of the control group (2.88 mm/a). An extreme outlier here was the average growth in the paper tree tubes, which, at 0.05 mm/a, reached just 1.7 % of the growth of the control group (Figure 4b). With the wild service tree, a mean root collar diameter of 2.03 mm/a was also found in all five types of tree tube, i.e. an average of 27.8 % less than in the control group (2.81 mm/a). For this shade-tolerant tree species, too, the increment in root collar diameter was extremely low in the paper tree tubes, at 0.14 mm/a. It is assumed that the reduced mechanical stress in tree tubes as a result of the lack of wind is one factor leading to a re-allocation of resources in favour of height growth.
With the exception of the paper tree tube (BioWit NT Natur), the mortality rate recorded two years after planting was uniformly low, at 2.8 % for the sessile oak and 2.4 % for the service tree. No significant differences were found between the control group and the different types of tree tube. Only the paper tree tube showed a mortality rate of 95.1 % for the shade-intolerant sessile oak and 76.4 % for the shade-tolerant wild service tree. This is presumably due to the very low level of photosynthetically active radiation (PAR) inside the tree tubes.
Negative greenhouse effect does not materialise
According to the German Weather Service, the years 2022 and 2023, together with 2018, were the warmest years since systematic weather records began. In the University Forest in Sailershausen, a total of 191 “summer days” (days with a maximum daily temperature (Tmax) above 25 °C) and 100 “hot days” (days with a Tmax above 30 °C) were recorded on average for 2022 and 2023, based on the control measurements on the three disturbance areas. The maximum duration of heat waves was 7 days in 2022 and 11 days in 2023 (number of consecutive days with Tmax above 30 °C).
As a result, air temperatures >40 °C were reached on several days, above which damage can demonstrably occur, due to increased cuticular transpiration rates if the leaf temperature reaches comparable values. While in Group 1 (control group, paper and wooden tree tubes) temperatures > 40 °C were only recorded on 15.7 days on average, such high temperatures were recorded in Group 2 (plastic tree tubes except the Ventex Clear tree tube) on a total of 81.0 days. For the transparent Ventex Clear plastic tree tube, temperatures > 40 °C were measured on as many as 121 days in 2022 and 2023 .
Nevertheless, a positive effect of temperature and evaporation rates inside the tree tubes on height growth was observed for both tree species (Figure 5b, c). By contrast, the increment in diameter was mainly influenced by light transmission (Figure 5d). Even in the climatically extreme years of 2022 and 2023, the greenhouse effect vaunted by the manufacturers does not appear to have had a negative impact on the vitality of the young trees. Particularly with the plastic tree tubes, significantly higher losses were expected due to the high number of days with maximum temperatures >40 °C. The height growth was nevertheless highest here for both tree species, and increased failure rates were not observed. Only the low level of light exposure of 6 % of the control group in the paper tree tubes led to massive losses in the first year. One explanation could be that in the tree tubes stocked with young trees, lower maximum leaf temperatures are reached due to transpiration cooling than in comparison with the maximum air temperatures observed in the tree tubes.
Outlook
The coming years of research will show whether the reduced stability as a result of increased height growth at the expense of diameter growth leads to higher mortality rates once the tree tubes are removed. Although extreme climatic values in the plastic tree tubes have not led to increased mortality to date, it seems promising that the microclimatic conditions and growth rates observed in the fully biodegradable wooden tree tubes are most similar to the conditions for the plants in the control group.
The paper tree tubes also exhibited comparable temperature and evaporation rates to the control plot, but the light was reduced by 94%, which led to extreme failure rates. It must be emphasised, however, that the BioWit NT Natur paper tree tubes made by the company Witasek and used in the project are no longer sold in this form. The successor model Biowit NT BTR has considerably larger light perforations. The question of whether this change is sufficient will have to be taken up in follow-up studies.
Furthermore, the necessity of a species-specific configuration of the tree tubes - as recommended by Oliet & Jacobs (2007) - cannot be confirmed at present, despite the inclusion of one shade-intolerant and one shade-tolerant tree species in the study. With two polypropylene tree tubes, for example, enormous differences in the photosynthetically active radiation were found (Figure 3). This did not however lead to differences in the height or diameter growth with either the sessile oak or the wild service tree.
Summary
Plastic or bioplastic tree tubes were found to have a positive influence on height growth - despite the concentration of extreme climatic values inside the tubes. In order to reduce the further introduction of microplastics into forest ecosystems, however, the use of polypropylene tree tubes should be avoided. Until there is a standardised certification of the biodegradability of tree tubes under field conditions in forest ecosystems, it is therefore recommended that natural products made from renewable raw materials are used.
The klifW015 project is being funded by the Bavarian State Ministry of Food, Agriculture and Forestry (Running time: 01.11.2021 to 31.10.2022) and in cooperation with the Sailershausen University Forest Office.










![[Translate to English:] [Translate to English:]](/assets/_processed_/7/5/csm_teaser_14c2325201.jpg)