Ziele der Untersuchung
Auf der Basis von langjährigen Versuchsflächen in zwei verschiedenen Standortsbereichen und Anbauregionen (Nordsächsische Heidegebiete - NH, Nördliche Oberlausitz - OL), die seit Anfang der 1990er Jahre als Pflege- und Naturverjüngungsversuche betrieben werden, konnte genauer untersucht werden, welche Auswirkungen der langanhaltende Wassermangel auf den Radialzuwachs und die Mortalität der Kiefer in Abhängigkeit von der Region (Standort), dem Alter und der Durchforstungsvariante hatte.
Im Detail sollte untersucht werden:
- welche Auswirkungen der langanhaltende Wassermangel auf den Radialzuwachs der Kiefer in Abhängigkeit von Region, Alter und Durchforstungsvariante hatte,
- ob es Unterschiede im erwarteten Zuwachsrückgang zwischen den Regionen gibt
- und wie hoch die Korrelation mit den Zeitreihen der KWB unter Berücksichtigung der genannten Einflussfaktoren ist.
Methodik: Starke Durchforstung vs. Nullfläche / Alt vs. Jung
Zur jahrgenauen retrospektiven Untersuchung des Einzelbaumwachstums wurden im Mai 2021 auf sieben der GKI-Pflegeversuchsflächen in zwei Altersbereichen Bohrkerne zur Bestimmung des jährlichen Durchmesserzuwachses entnommen (Abb. 1). Auf jeweils einer Parzelle mit hoher Eingriffsstärke (Lichtung oder starke Durchforstung) und einer Parzelle der Nullvariante wurden dabei je 10 Z-Bäume bzw. fiktive Z-Bäume (Nullvariante) beprobt. Pro Baum wurden jeweils zwei Bohrkerne um 90° versetzt zueinander entnommen und mit einem Jahrringmesstisch der Firma RINNTECH vermessen und datiert. Ausgehend vom Mittelwert des Radialzuwachses der letzten 20 Jahre wurden die Jahrringbreiten indiziert. Dabei kam das R-Package dplr zum Einsatz (Bunn 2008). Durch Korrelations- und Gleichläufigkeitsanalysen konnten Vergleiche zwischen den Parzellen durchgeführt werden.
Datenbasis

Tab. 1: Beprobte Parzellen und Kategorisierung (1 Region bzw. Untersuchungsgebiet: 1 = Nordsächsische Heidegebiete - NH, Region 2 = Nördliche Oberlausitz - OL)
Die Versuchsflächen wurden so ausgewählt, dass 3 jüngere Flächen sowie 4 ältere Flächen beprobt wurden. Insgesamt standen so 280 Bohrkerne von 140 Probebäumen zur Verfügung. Durch die Flächenauswahl waren zwei relevante Regionen im sächsischen Versuchsflächenset zur Kiefer abgedeckt. Pleistozäne (Region 1) und Tertiäre Sande (Region 2) bilden die Grundlage für die Böden der untersuchten Bestände. Das Wasserhaltevermögen ist dementsprechend sehr gering. Klimatisch ist die Nördliche Oberlausitz im Vergleich leicht begünstigt, was die durchschnittliche Niederschlagsmenge im langjährigen Mittel betrifft. Beide Gebiete sind allerdings in der Vegetationsperiode generell von einer stark negativen klimatischen Wasserbilanz von -170 mm (Region 1, NH) und -145 mm (Region 2, OL) geprägt. Die Differenzen waren 2018 deutlich negativer als die ohnehin im langjährigen Mittel sehr negative Bilanz der Monate März bis September.
Abbildung 2 zeigt die für die Analyse verwendeten jährlichen Abweichungen der KWB von diesem langjährigen Mittelwert in den Jahren seit 1990.
Die Dürrephase 2018-2020 hatte eine extreme Ausprägung. In Abbildung 3 sind zur Veranschaulichung die Differenzen zur ohnehin schon sehr negativen KWB in der Vegetationszeit für beide Untersuchungsgebiete dargestellt. Besonders 2018 wurden extrem negative Werte erreicht. Das Aufeinanderfolgen der drei Dürrejahre verstärkte dann zusätzlich die Folgen für die Bestockung.
Zuwachsreduktion 2018 bis 2020
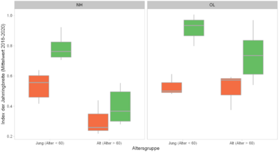
Anhand der Indizes der Jahrringbreiten für die Jahre 2018-2020 wurde die Stärke des Zuwachseinbruchs und die Dynamik innerhalb dieses Zeitraum bezüglich der Faktoren Region, Altersgruppe und Durchforstungsvariante untersucht. Hier zeigen sich zwischen den Regionen signifikante Unterschiede im Niveau und Verlauf der Dürrephase.
Der jährliche Grundflächenzuwachs reduzierte sich im Mittel aller Parzellen um 34 % (7-71 %) im Vergleich zum 10-jährigen Mittel.
Die Zuwachsreduktion war stärker ausgeprägt (siehe Abb. 4):
- in jüngeren, dichteren Beständen (Alter < 60),
- auf den Nullflächen,
im Untersuchungsgebiet „Nordsächsische Heidegebiete (NH)“.
Unterschiede innerhalb der Dürrephase 2018-2020
- raschere Erholung der Zuwächse auf den durchforsteten Parzellen und in jüngeren Beständen
- fortschreitende Abnahme der Zuwächse im Untersuchungsgebiet „Oberlausitz“ (Abb. 5, rechte Seite)
- sukzessive Erholung in der Region „Nordsächsische Heidegebiete“ (Abb. 5, linke Seite)
Modellierung
Es wurde angenommen, dass die KWB eines Jahres auch signifikante Auswirkungen auf den Zuwachs im Folgejahr haben kann. Ausgehend von dieser These wurde ein Index aus dem aktuellen KWB-Jahreswert sowie dem halben Vorjahreswert mit der Formel
- KWBD_15 = (KWBt + KWBt-1/2)/1000
anhand der resultierenden Effektstärke an den Daten der untersuchten Versuchsflächen getestet. Dieser jahresübergreifende Indexwert, bei dem der Vorjahreswert der KWB zur Hälfte eingeht, zeigte bei Verwendung eine deutlich erhöhte Korrelation als die Jahressummen. Dies führt auch zu einem sinkenden Standardfehler der Residuen. Außerdem steigt die Signifikanz des KWB-Terms deutlich an.
In einem einfachen linearen Modell, dass zusätzlich zur Wasserbilanz das Jahr als erklärende Variable nutzt, konnte bereits ein hoher Anteil der Varianz der abhängigen Variable (Index der Jahrringbreite) erklärt werden. Das adjustierte Bestimmtheitsmaß liegt bei 0,69. Außerdem belegen die Ergebnisse der Regressionsanalyse eine hohe Signifikanz der eingesetzten unabhängigen Variablen (Abb. 6).
Zusammenfassung
Die Dürre der Jahre 2018-2020 hatte deutliche, negative Auswirkungen auf den Radialzuwachs in allen untersuchten Kiefernversuchsflächen. Es konnte eine Verringerung des jährlichen Derbholzzuwachses um bis zu 70 Prozent (Mittelwert: 34 Prozent) im Vergleich zum zehnjährigen Mittel nachgewiesen werden. Signifikante Unterschiede in der Ausprägung dieser Zuwachsreduktion in Abhängigkeit vom Alter, Region und Durchforstungsstärke wurden deutlich. Jungbestände und dichte Parzellen (Nullflächen und schwache Durchforstung) zeigten einen stärkeren Zuwachseinbruch der fiktiven Z-Bäume. Ein sehr hoher Anteil von etwa 80 Prozent der Varianz der gemessenen Jahrringbreiten kann in einem linearen Modell durch die klimatische Wasserbilanz in der Vegetationszeit des Betrachtungsjahres und unter Einbeziehung von Vorjahresinformationen erklärt werden. Auf durchforsteten Parzellen zeigten sich Freistellungseffekte, die bis zu 10 Jahre nach der Durchforstung den Radialzuwachs zusätzlich deutlich beeinflussen und den Dürreeffekt reduzieren können. Die maximale Beeinflussung zeigte sich dabei zwei bis fünf Jahre nach der Durchforstung.











