Einleitung
Im Klimawandel spielt die ungestörte Wurzelentwicklung von Kulturpflanzen eine entscheidende Rolle, da sie die Wasserversorgung der jungen Pflanzen sicherstellt. Aus diesem Grund nehmen die sogenannten Containerpflanzen besonders auf Standorten mit hoher Trockenheitswahrscheinlichkeit in ihrer Bedeutung zu [1, 2, 3].
Für die Verwendung von Containerpflanzen (auch Ballenpflanzen genannt) spricht ein geringerer Pflanzschock, da keine Rodung aus Anzuchtbeeten erfolgt und das Wurzel-Boden-Gefüge erhalten bleibt [3]. Die Wurzel ist vor dem Austrocknen bei der Pflanzung durch das Erdreich im Wurzelballen geschützt, vor allem bei Wässerung des Ballens vor der Pflanzung [2]. Wurzeldeformationen durch falsches Einbringen ins Erdreich werden auf Grund des schützenden Wurzelballens und der leichten Erlernbarkeit der Pflanzmethode weitgehend verhindert [4].
Auf dem Markt befinden sich jedoch verschiedenste Containersysteme, die sich in ihren Eigenschaften deutlich voneinander unterscheiden. Das Ziel des Forschungsvorhabens war es, herauszufinden, ob und wie sich diese Eigenschaften auf die Wurzelausformung und das Wachstum der Pflanzen auswirken.
Die Forschungsfragen waren hierbei: Welches System zeigt
- die beste Versorgung der Pflanze mit Wasser und Nährstoffen (hergeleitet über die Wurzelmasse),
- die beste Verankerung im Boden (Wurzelausformung und Masse der Hauptwurzel),
- die geringsten Ausfälle,
- die größte Höhe und den höchsten Zuwachs?
Untersuchte Containersysteme
Quelltöpfe: Jiffy® [1]
Erdballen aus Torf, von einem feinen Netzgewebe umhüllt, das mit verpflanzt wird. Der Vorteil gegenüber Hartwandcontainern: der Rücktransport von Plastikcontainern zurück zur Baumschule entfällt. Nachteil: der Eintrag der Kunstfasern in den Boden. Die Lieferung erfolgt in der Regel platzsparender als bei Hartwandcontainersystemen.
Hartwandcontainer: LIECO und QuickPotTM
Mehrfach verwendete Plastikplatten (Trays) mit eingeformten Töpfen, die in den Baumschulen mit Anzuchterde befüllt werden. Die Öffnung im Boden und die Lagerung auf Unterlüftungsrahmen in den Baumschulen führt zu Luftwurzelschnitt, der zu einer Anregung der Bildung von Feinwurzeln nach der Verpflanzung führt. Die Pflanzen werden mit Erdballen aus diesen Töpfen bei der Pflanzung entnommen und die Trays an die Baumschulen zurückgeschickt (Mehrfachverwendung möglich).
LIECO [2]: Grundfläche kreisförmig, mit Wurzelleitrippen und Sideslits (zusätzlicher Luftwurzelschnitt) und Öffnung im Boden. QuickPotTM [3]: Grundfläche quadratisch, mit Wurzelleitrippen und Öffnung im Boden.
Weichwandcontainer:
Aus Naturfasermaterialien hergestellte Töpfe, die durchwurzelbar sind und sich im Erdreich zersetzen. Sie müssen vor dem Pflanzen nicht entfernt werden, der Rücktransport zu den Baumschulen entfällt, das Material ist im Boden gut zersetzbar. Die Lieferung ist wie beim Jiffy®-System platzsparend möglich. Im Versuch hielt ein Teil der Weichwandcontainer allerdings nicht bis zur Pflanzung, sodass ein Teil des Erdballens um die Wurzel verloren ging.
Quellen
- (1) Jiffy Products International BV, „Jiffy - Das Original - Über Jiffy“. Verfügbar unter: www.jiffypot.com/de/ueber-jiffy.html.
- (2) LIECO GmbH & Co KG, „Das Lieco-System“. Verfügbar unter: www.lieco.at/de/lieco-system.
- (3) HerkuPlast Kubern GmbH, „QuickPot“. Verfügbar unter: www.herkuplast.com/de/quickpot.html.

Abb. 1: Containerpflanzen in Anzuchtsystemen Jiffy®, LIECO, QuickPotTM und Weichwand (v. l. n. r.). Foto: J. M. Hanke
Versuchsaufbau
Miteinander verglichen wurden die Systeme Jiffy®, LIECO, QuickPotTM und Weichwand.
Zunächst wurden im Jahr 2019 Douglasien bei Baumschulen bestellt, die auf diese Systeme spezialisiert sind. Bei Anlieferung wurden die Pflanzen besonders hinsichtlich ihrer Wurzelausprägungen und anderer Merkmale untersucht. (Das genaue Vorgehen ist im Originalartikel beschrieben.) Gleichzeitig hat das ZWH das Saatgut einer Herkunft und der gleichen Partie bei den spezialisierten Baumschulen in Lohnanzucht gegeben. Die Lieferung der daraus entstandenen Pflanzen erfolgte im Herbst 2020. Mit einer Teilmenge wurde die Untersuchung von 2019 wiederholt, um herauszufinden, ob die Einflüsse der Systeme bei Verwendung der gleichen Saatgutpartie sichtbar bleiben.
Mit dem Großteil der gelieferten Douglasien wurde auf zwei Forschungsflächen ein Freilandversuch angelegt. Hier wurde das Wachstum zwei Jahre lang beobachtet und danach Douglasien für Wurzeluntersuchungen entnommen. Man wollte herausfinden, ob die bei Anlieferung bestehenden Unterschiede zwischen den Systemen auf den Flächen erhalten bleiben. (Eine Beschreibung der Flächen und des Vorgangs ist im Originalartikel zu finden.)
Welches System zeigt die beste Versorgung der Pflanzen mit Wasser und Nährstoffen?
Je höher die Wurzelmasse (besonders die Feinwurzelmasse) einer Pflanze ist, desto größer ist auch die Oberfläche der Wurzel, über die die Pflanze Wasser aufnehmen kann [5]. Daher wurde die Masse als messbarer Parameter genutzt, um die gestellte Forschungsfrage zu beantworten.
Bei Anlieferung der Pflanzen zeigte sich bereits ein Unterschied zwischen den Systemen (Abbildung 2). Bei der Anlieferung der Erstmenge 2019 waren die Wurzelmassen des Jiffy®- und LIECO-Systems signifikant höher als die von QuickPotTM und Weichwand; wobei die Douglasien des QuickPotTM-Systems wiederum signifikant höhere Wurzelmassen als das Weichwandsystem aufwiesen. Bei Wiederholung dieser Untersuchung im Herbst 2020 mit Douglasien aus derselben Saatgutpartie war nur die Wurzelmasse des LIECO-Systems signifikant höher als die der anderen Systeme.
Nach zwei Jahren Wachstum auf den beiden Versuchsflächen (Lattenberg und Glindfeld) war der Unterschied in der Wurzelmasse allein zwischen dem LIECO-System und dem Weichwand-System signifikant (Abbildung 3). Die Masse der Hauptwurzel war im Freilandversuch beim LIECO-System am höchsten, gefolgt von Jiffy und QuickPot (Abbildung 3).
Hinsichtlich der Versorgung mit Wasser und Nährstoffen stellte sich im durchgeführten Versuch zusammenfassend das LIECO-System als das geeignetste dar.

Abb. 2: Wurzelmassen bei Anlieferung. Dargestellt sind die Mittelwerte der Gesamtwurzel, getrennt nach Feinwurzel (hellgrün), Hauptwurzel (dunkelgrün) pro System (J = Jiffy®, L = LIECO, Q = QuickPotTM, W = Weichwand). Die Fehlerbalken zeigen die Standardabweichung und beziehen sich auf die Gesamtwurzelmasse. Die Signifikanzbuchstaben beziehen sich auf die Gesamtwurzelmasse innerhalb eines Jahres (n2019 = 20 pro System; n2020 =30 pro System). Grafik: J. Hanke

Abb. 3: Wurzelmassen nach zweijährigem Wachstum auf den Forschungsflächen. Dargestellt sind die Mittelwerte der Gesamtwurzel, getrennt nach Feinwurzel (hellgrün), Hauptwurzel (dunkelgrün) pro System (J = Jiffy®, L = LIECO, Q = QuickPotTM, W = Weichwand). Die Fehlerbalken zeigen die Standardabweichung und beziehen sich auf die Gesamtwurzelmasse. Die Signifikanzbuchstaben beziehen sich auf die Gesamtwurzelmasse innerhalb einer Fläche (n = 15 pro System und Fläche). Grafik: J. Hanke
Welches System zeigt die beste Verankerung im Boden?
Die Verankerung im Boden spielt im Klimawandel aufgrund zunehmender Stürme eine wichtige Rolle. Bei der Douglasie hat man z. B. beobachtet wurde, dass sie in zahlreichen Kulturen in NRW im beginnenden Jungwuchsstadium häufig Schiefstand aufwies oder sogar umfiel [6].
Zur Verankerung im Boden ist im jungen Pflanzenalter besonders die Hauptwurzel wichtig, später tragen auch Seitenwurzeln hierzu bei. Die Stärke der Hauptwurzel kann über ihre Masse hergeleitet werden. Um aber eine gute Verankerung zu erreichen, ist neben der Masse vor allem die Ausrichtung der Hauptwurzel wichtig. Je besser sie nach unten in den Boden ausgerichtet ist, desto höher ist aufgrund von Hebelwirkung die Standfestigkeit.
Die Masse der Hauptwurzel war im Versuch beim LIECO-System am höchsten, gefolgt von Jiffy® und QuickPotTM (Abbildung 2 und 3).
Die Ausformung der Hauptwurzel war bei Anlieferung der Erstmenge 2019 sehr eindeutig (Beschreibung der Methodik im verlinkten Originalartikel). Hier zeigten das Jiffy®- und das LIECO-System die besten Formen. Bei Anlieferung der zweiten Menge 2020, die aus einer Saatgutpartie hervorgegangen war, war dieses Ergebnis nicht mehr eindeutig (Abbildung 4).
Nach zweijährigem Wachstum auf der Fläche fiel besonders das Jiffy®-System durch eine häufig gute Entwicklung der Hauptwurzel bei über 70 % der Pflanzen auf (Abbildung 5).
Insgesamt betrachtet ist das Ergebnis bei dieser Forschungsfrage nicht eindeutig. Was die Hauptwurzelform betrifft, stach jedoch das Jiffy®-System im Versuch meist positiv hervor, was eine gute Verankerung im Boden erwarten lässt.

Abb. 4: Prozentualer Anteil mit einer bestimmten Form der Hauptwurzel pro System bei Anlieferung (J = Jiffy®, L = LIECO, Q = QuickPotTM, W = Weichwand; n2019 = 20 pro System, n2020 =30 pro System) Grafik: J. Hanke

Abb. 5: Prozentualer Anteil mit einer bestimmten Form der Hauptwurzel pro System nach zweijährigem Wachstum auf den Forschungsflächen (1 = Tendenz nach unten, 2 = Knick nach unten, 3 = Knick zur Seite, 4 = gestaucht, oberflächlich weiterwachsend; J = Jiffy®, L = LIECO, Q = QuickPotTM, W = Weichwand; n = 30 pro System) Grafik: J. Hanke
Welches System zeigt die geringsten Ausfälle
Ausfälle von Pflanzen bedeuten Verluste von Investitionen und sind daher sehr ärgerlich. Auf den Versuchsflächen Glindfeld und Lattenberg wurde jährlich jeweils der Ausfall der Douglasien pro System erhoben. Die Ergebnisse sind in Tabelle 1 dargestellt.
Die Systeme Jiffy®, LIECO und QuickPotTM zeigen ähnlich niedrige Ausfallraten. Allein im ersten Jahr nach der Pflanzung hatte das LIECO-System auf der Fläche in Glindfeld eine leicht erhöhte Ausfallrate von 14 %. Das Weichwandsystem zeigte mit einer Ausfallrate von über 20 % auf beiden Flächen im ersten Jahr sehr schlechte Werte.
Tabelle 1: Prozentualer Ausfall pro Fläche und System im ersten (2021) und zweiten (2022) Wuchsjahr

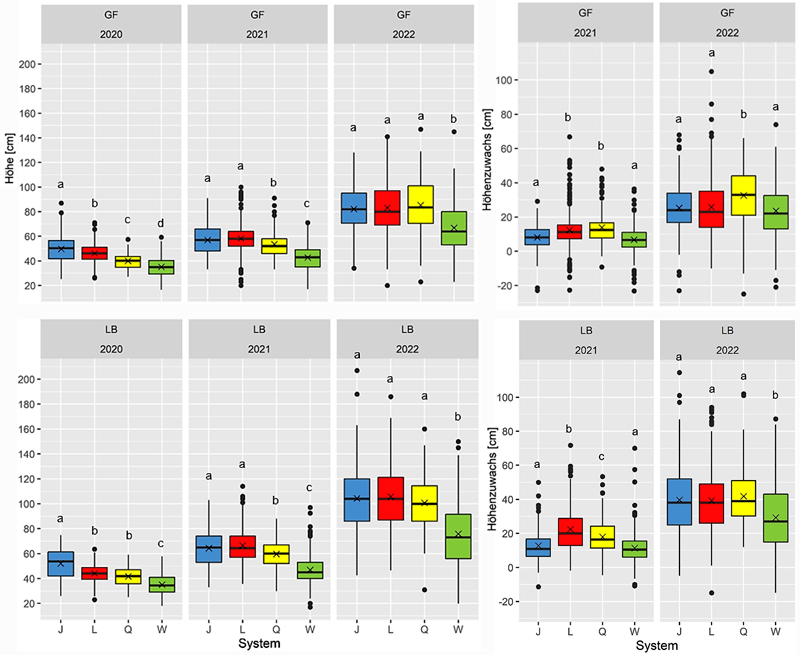
Welches System zeigt die größte Höhe und den höchsten Zuwachs?
Bei Pflanzung der Containerpflanzen auf den Flächen bestanden bereits Höhenunterschiede zwischen den Systemen. Die Jiffy®-Pflanzen wiesen die signifikant größten Höhen auf, gefolgt von LIECO, dann QuickPotTM und schließlich Weichwand (Abbildung 6).
Diesen Vorsprung konnte das LIECO-System schon im Folgejahr durch einen hohen Zuwachs aufholen, sodass 2021 kein signifikanter Unterschied in der Höhe zwischen LIECO und Jiffy® bestand. Bis 2022 konnte dann ebenfalls das QuickPotTM-System aufholen. Allein das Weichwandsystem blieb bis zum Versuchsende deutlich niedriger als die anderen Systeme.
Am schlechtesten schnitt hinsichtlich der Zuwächse das Weichwandsystem ab, während die anderen Systeme vergleichbare Werte aufwiesen. Beim Jiffy®-System fällt jedoch ein geringer Zuwachs im ersten Jahr nach der Pflanzung auf, was auf einen Pflanzschock hindeuten könnte. Dieser könnte mit dem ungünstigen Wurzel-/Spross-Verhältnis begründet werden. So waren die Jiffy®-Pflanzen bei Anlieferung zwar deutlich höher als die anderen Pflanzen (Abbildung 6), hatten aber eine geringere Wurzelmasse als die des LIECO-Systems (Abbildung 2). Eventuell könnte dies durch eine verringerte Düngergabe in der Baumschule angepasst werden.

Abb. 6: Pflanzenhöhe und Höhenzuwachs pro Fläche (GF = Glindfeld, LB = Lattenberg), Jahr und Containersystem (J = Jiffy®, L = LIECO, Q = QuickPotTM, W = Weichwand). Unterschiedliche Buchstaben über den Boxen zeigen signifikante Unterschiede zwischen den Systemen innerhalb des betreffenden Jahres und der Fläche an. Grafik: J. Hanke
Fazit
Im Versuch ist vor allem das Weichwandsystem durch geringere Wurzelmassen, hohe Ausfälle und geringe Zuwächse negativ aufgefallen. Die anderen Systeme zeigten in den verschiedenen Kategorien unterschiedliche Stärken, wiesen aber in den übrigen auch keine allzu auffälligen Schwächen auf. Somit scheinen nach den Ergebnissen dieses Versuchs alle drei (Jiffy®, LIECO und QuickPotTM) durchaus verwendbar zu sein. Auf besonders trockenen Standorten ist nach diesen Ergebnissen das LIECO-System mit seinen hohen Wurzelmassen besonders zu empfehlen. Auf Standorten, wo Douglasien zum Umkippen neigen oder eine hohe Sturmwurfgefahr gegeben ist, ist nach den Ergebnissen des Versuchs das Jiffy®-System mit den guten Hauptwurzelformen empfehlenswert.
Literatur
- [1] Brezina, T, (2013): Containerpflanzen - Alternative zu wurzelnackten Pflanzen. Waldpost - Zeitung für Waldbesitzer in Sachsen. Hrsg. Von Staatsbetrieb Sachsenforst, Nr. 2013/2014, S. 7–8.
- [2] Von Lüpke, N. und R. Petersen (2020): Sind Containerpflanzen bei der Douglasie die bessere Wahl? AFZ-DerWald 22/2020, S. 22–26.
- [3] Altendorf, B. H. und B. Jägle (2021): Pflanzung in Zeiten des Klimawandels. AFZ-DerWald, 5/2021, S. 45–48.
- [4] Hüttner, S. (2017): Worauf es bei der Containerpflanzung ankommt. AFZ-DerWald 21/2017, S. 50–51.
- [5] Strasburger, E. und P. Sitte (Hg.) (2002): Lehrbuch der Botanik für Hochschulen, 35. Aufl. Heidelberg.
- [6] Wald und Holz NRW (Hg.) (2016): Zukunftsbaumart Douglasie - Empfehlungen zur Kulturbegründung. Waldblatt NRW, Frühjahr 2016.





