Im Rahmen des Projektes "Versuchskonzept 2100" wurden ab 2021 in Mecklenburg-Vorpommern drei große Mischbestandsversuche angelegt. Sie sollen unter anderem darüber Aufschluss geben, wie Mischbestände optimal waldbaulich zu behandeln sind. “Ruthenbeck 210” - die größte Fläche dieser Versuchsserie in Mecklenburg-Vorpommern, liegt im Forstamt Friedrichsmoor und ist zwölf Hektar groß (Abbildung 0). Sie besteht aus Mischungen von Kiefern mit Traubeneichen und Douglasien mit Rotbuchen.
Neben den Erkenntnissen zu waldwachstumskundlichen Größen bieten diese Flächen auch die einzigartige Möglichkeit, den Einfluss von Mischbeständen auf den Boden besser zu verstehen. Außerdem können die hochaufgelösten analytischen Bodendaten zukünftige waldbauliche Auswertungen sinnvoll ergänzen.

Abb. 0: Luftbild der Versuchsfläche “Ruthenbeck 210” mit ihren vier Versuchseinheiten. Farblich hinterlegt sind die Pflanzeinheiten bestehend aus jeweils einer Baumart (blau – Traubeneiche, weiß – Kiefer, rot – Rotbuche, gelb – Douglasie) und je nach Dichte mit 9 oder 18 Pflanzen (2.500 oder 5.000Pfl / ha). Quelle: Eric A. Thurm
Versuchskonzept 2100
Die Bepflanzung der Fläche mit den vier Baumarten erfolgte auf Basis eines Versuchskonzeptes des Lehrstuhls für Waldwachstumskunde der TU München. Die Flächen sind somit nicht losgelöst, sondern es existieren weitere Versuchsflächen schon in anderen Regionen, vornehmlich in Süd-Deutschland. Der Versuchsaufbau sieht unterschiedliche Mischungsintensitäten und Dichtegrade für 2-Baum-Mischungen vor. Die Anordnung der Pflanzen entspricht einem vereinheitlichten Konzept, bei dem jede Pflanze seinen definierten Platz hat, wodurch die unterschiedlichen Versuche in Deutschland vergleichbar werden. Das ermöglicht es überhaupt, diese vielen unterschiedlichen Einflussfaktoren in Mischbeständen zu analysieren.
Für die Fläche in Ruthenbeck ist die Ausgangslage ein einschichtiger, 81-jähriger Kiefernreinbestand (Mittelhöhe 27,4 Meter) am Rande einer alten Militäranlage, die nun mit der Mischung unterbaut wurde. Die Fläche zeichnete sich durch eine sehr rechtwinklige Waldwegeanlage und durch großflächig-ebenes Gelände mit identischer Bestockung aus. Im Rahmen des Flächentausches kam der Bestand 2009 vom Bund in die Verantwortung der Landesforstanstalt. Kurz vor der Flächenübergabe wurde der Bestand noch einmal stark durchforstet, was dazu führte, dass sich die schon etablierte Fichtenverjüngung gut entwickeln konnte (Mittelhöhe 14,7 Meter). Birke und zum Teil auch Roteiche und Traubenkirsche haben sich daraufhin ebenfalls natürlich verjüngt. Im Rahmen der Versuchsanlage wurde der Unterstand komplett entfernt und es wurden beginnend im November 2021 vier Versuchseinheiten à drei Hektar mittels Pflanzung angelegt. Eine Versuchseinheit besteht aus 15 Parzellen (30 x 48 Meter) mit fünf unterschiedlichen Mischungsanteilen und drei verschiedenen Dichtegraden. Insgesamt stehen so in den Parzellen 36.000 Pflanzen (begründet mit 2.500 bis 5.000 Pflanzen / Hektar), deren Zentimeter-genaue Einmessung mit Bandmaßen durchaus herausfordernd war (Abbildung 1).
Methodik der bodenkundlichen Untersuchung
Die Versuchsfläche befindet sich in einem recht einheitlichen anhydromorphen Sander-Bodenmosaik der Frankfurter Staffel (Weichseleiszeit). In der Forstlichen Standortskarte sind in der unmittelbaren Umgebung der Versuchsfläche großflächig mäßig frische, unverlehmte oder anlehmige, carbonatfreie Sand-Braunerden (LeS, FtS) ausgewiesen worden. Die Einheitlichkeit des geologischen Ausgangssubstrates und die mittleren Standortsverhältnisse sprechen für eine gute Übertragbarkeit der Ergebnisse auf größere Waldflächen des Bundeslandes.
Um Bodenveränderungen zu detektieren, ist es schon zu Projektbeginn notwendig, als spätere Referenz die Ausgangssituation genau zu erfassen. Dies ist mit der (bodenkundlichen) Ersterhebung / Referenzmessung im Jahr 2022 über die “Laboranalytische Bestimmung von physikalischen und chemischen Bodenparametern” vorgenommen worden.
Die Messung soll in Zukunft im 5-jährigen Intervall zum Winter wiederholt werden. In jeder der insgesamt 60 Versuchsparzellen erfolgte im Parzellenzentrum eine Bodenentnahme. Hierzu wurde in möglichst ungestörten Bodenbereichen Bodenproben mittels eines Wurzelbohrers (Durchmesser: 8 cm) entnommen, welche in die Teilproben “Humusauflage” und “Mineralboden” (Tiefenspanne: 0 – 10 cm) getrennt der Laboranalyse zugeführt wurden. Die Bodenproben wurden entsprechend der (Standard-) Labormethoden der Standortkundlichen Kartieranleitung (SEA 95) untersucht, wodurch die Vergleichbarkeit zu den landesweiten Daten des forstlichen Umweltmonitorings (Bodendauerbeobachtungsflächen Forst–BDF-F, siehe Kasten) und der Forstlichen Standortskartierung gegeben ist. Für Nachanalysen wurde eine Probenteilmenge im Bodenprobenlager Sternberg langfristig eingelagert.
Erste bodenchemische Ergebnisse
Bereits nach der Referenzmessung stehen flächendeckende umfangreiche Bodendaten (Trockenrohdichten, pH-Werte, Kohlenstoff- und Stickstoffgehalte, pflanzenverfügbare Nährstoffgehalte, Basensättigungen, Austauschkapazitäten) jeder Parzelle für den oberen Mineralboden und die Humusauflage zur Verfügung.
Als ein wichtiges Ergebnisbeispiel sollen die analytisch bestimmten Humusformen und die prioritär zugrundeliegenden C / N-Verhältnisse der Versuchsfläche kurz erläutert werden (Abbildung 2). Grundsätzlich wäre im natürlichen Gleichgewichtszustand auf den genannten Bodentypen der mäßig frische Moder verbreitet vorzufinden. Die aktuelle Humusform ist aber überwiegend eine Stufe schlechter (Abbildung 2a). Ursache hierfür ist wahrscheinlich die schlechte Streuzersetzung der seit 1885 vorzufindenden örtlichen Nadelholz-Bestockung verbunden mit der vorangegangenen, degradierend wirkenden landwirtschaftlichen Flächennutzung.
Die ermittelten Humusformen variieren kleinflächig vom Rohhumusartigen Moder (RM) bis zum Moder (Mo) trotz des gleichförmigen Bodenareals, nur geringer Reliefunterschiede (meist weniger als 5 m) und des homogenen Ausgangsbestandes (siehe Abbildung 2a). Diese kleinräumigen Unterschiede könnte die vor 25 Jahren entstandene Naturverjüngung hervorgerufen haben, welche sich wahrscheinlich in einer Humusverbesserung in Bereichen mit Traubenkirsche, Roteiche und Birke bzw. einer Verschlechterung auf den mit Fichten bestockten Flächenanteilen äußert.

Abb. 2: a) Analytisch bestimmte Humusformen nach SEA 95 je Parzelle (RM-Rohhumus, Mo-Moder, b2…b4 Basenstufen bei neg. Abweichung (Verschlechterung) entspricht dystroph - schwach mesotroph), b) C / N-Verhältnisse der Referenzmessung je Parzelle (grau). Die flächige
Darstellung erfolgte durch geostatistische Berechnung (Ordinary Kriging) und basiert auf den 60 Messungen im Parzellenzentrum. Die Einfärbung entspricht dem Schwankungsbereich lokaler Braunerden (BDF-F). Quelle: Jan Martin
Außerdem ist zusätzlich die Basenstufe (Grundlage: V-Wert = Basensättigung) um eine Stufe schlechter als die Stickstoffstufe (siehe der Abbildung 2a, Abweichung der Basenstufe gekennzeichnet durch b2 - b4), was auf eine örtlich noch stärkere Störung der Humusumsetzungsprozesse hindeutet. Die Bodenfruchtbarkeit dieser tiefgründig versauerten Sandböden ist dadurch derzeit punktuell noch einmal etwas herabgesetzt. Bei starken Abweichungen (kleine Zahl hinter dem b.) sind ein verlangsamtes Baumwachstum und auch eine schlechtere Vitalität möglich.
In der Abbildung 2b sind die gemessenen C / N-Verhältnisse (Quotient aus Kohlenstoff- und Stickstoffgehalt) für die Humusauflage dargestellt. Niedrige Werte weisen auf eine hohe Mikroorganismenaktivität und somit eine hohe Bodenfruchtbarkeit hin. Die C / N-Verhältnisse in Ruthenbeck sind jedoch höher bzw. schlechter als bei vergleichbaren Böden im Land (Basis BDF Flächen, Abbildung 2a). Vornehmliche Ursache ist die maßgeblich nicht standortsgerechte reine Nadelholz-Bestockung über den langen Zeitraum. Anhand der Einfärbung in Abbildung 2b ist weiterhin zu erkennen, dass glücklicherweise kein Gradient (z. B. von Nord nach Süd) in dem Versuch vorhanden ist, sondern die einzelnen Parzellen eher untereinander, wahrscheinlich aufgrund des früheren Unterstandes (s. o.), leicht schwanken.
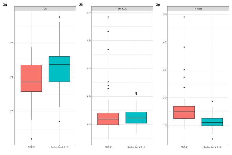
Vergleicht man die wichtigen Bodenparameter für die Humusformenbestimmung mit den Werten anderer Braunerden im Land (Datenbasis sind die BDF-F), so sind die C / N-Verhältnisse und der V-Wert in “Ruthenbeck 210” etwas schlechter (Abbildung 3a und c). Die pH-Werte in KCl bewegen sich dagegen auf dem gleichen niedrigen Niveau (Abbildung 3b). Nach Ulrich (1981) geben diese die potenzielle Acidität an, wobei die niedrigen gemessenen Werte sowohl in Ruthenbeck als auch auf den BDF-F auf eine erhebliche historische Versauerung hinweisen.

Abb. 3: Vergleich chem. Bodenparameter der Humusauflage in “Ruthenbeck 210” (blau) mit den Braunerden-Werten der Bodendauerbeobachtungsflächen Forst (rot, Aufnahme aus 2001). Bezüglich der C / N-Verhältnisse und V-Werte finden sich in Ruthenbeck schlechtere Werte als standörtlich typisch. Quelle: Jan Martin
Für bodenkundliche Analysen ist auch stets interessant, wie chemische Parameter die standörtliche Beschreibung wiederspiegeln. Anhand des Bodenparameters C / N kann in der Messung eine hohe Abhängigkeit zur Mächtigkeit der Humusauflage nachgewiesen werden (Abbildung 4a). Hiermit bestätigen die Untersuchung die grundsätzliche Eignung dieses Parameters zur Humusformenbestimmung gemäß SEA 95.
Wie oben beschrieben, wurden auf der Versuchsfläche für alle Mischungsvarianten räumlich getrennte Wiederholungen angelegt. Im Zusammenhang mit den vorgefundenen örtlichen Streuungen der Bodenparameter erweist sich diese Struktur für eine spätere Auswertung über die gesamte Versuchsfläche als günstig, so findet man nach Mittelwertbildung in jeder Baumartenmischungsvariante recht ähnliche Ausgangsbedingungen vor (Abbildung 4b).
Ausblick
Der großflächige Mischbestandsversuch “Ruthenbeck 210” des Forschungsprojektes Versuchskonzept 2100 eignet sich aufgrund seiner Naturraumausstattung, Bestandesstruktur und Versuchsflächenmethodik sehr gut, um zusätzlich die Rückwirkungen verschiedener Baumarten auf den Boden zu untersuchen. Es liegt kein gerichteter standörtlicher Gradient vor und so werden kleinere Unterschiede, die zu Beginn des Versuches im Oberboden bestehen, durch die räumliche Wiederholung jeder Mischungsvariante ausgeglichen.
Für die kommenden Auswertungen ist die geringe Zustandsnährkraft der Fläche im Vergleich zu anderen Braunerden MV als günstig zu bewerten. So werden je nach Baumart Bodenverbesserungen wahrscheinlicher und sie treten früher im Projektverlauf auf.
Durch die unterschiedlichen Nährstoffgehalte der Baumarten (nach Göttlein 2015 und Wittich 1943, 1961) wird erwartet, das Rotbuche und Traubeneiche zu einer nachweisbaren Bodenverbesserung führen. Das C / N – Verhältnis sollte niedriger werden und der V-Wert wie der pH-Wert sollten ansteigen. Bei der Kiefer wird erwartet, dass der Zustand des Humus und der chemischen Parameter konstant bleiben. Der Einfluss der Douglasie auf den Standort ist derzeit noch schlecht abzuschätzen, hohe Nährstoffgehalte in den Nadeln ließen auch eine Bodenverbesserung zu.
Inwieweit sich die Mischung auswirkt, ist ebenfalls schwer vorherzusagen. Analysen aus bestehenden Mischbeständen gehen für Buche-Douglasie davon aus, dass sich in Mischung vergleichbare C / N Verhältnisse wie im Buchen-Reinbestand einstellen. Bei der Kiefern-Eichen-Mischung bleibt zu vermuten, dass sich ein C / N-Verhältnis entwickelt, welches zwischen dem des Eichen- und des Kiefern-Reinbestands liegt. Es ist jedoch noch völlig unklar, bei welchem Mischungsanteil oder bei welcher Dichte es zur besseren Humusform kippt. Oder anders formuliert: Wie viel Eiche muss im Bestand sein, um einen positive Effekt auf die Kiefer und deren Humusform zu erhalten? Eine weitere Frage, die sich in dem Projekt stellt, ist, ab wann werden wir – in einem seit 1885 dominierten Nadelholzbestand – die ersten Veränderungen des Humus durch die Mischungen messen?
Bodendauerbeobachtungsflächen Forst (BDF-F): In den Jahren 1986 – 1989 entstand in Mecklenburg-Vorpommern ein Monitoringnetz aus 59 Bodendauerbeobachtungsflächen Forst, welche darauf ausgelegt sind, den Wald- und Bodenzustand der Hauptbaumarten im Bundesland auf häufig vorkommenden an- und semihydromorphen Böden repräsentativ und regelmäßig zu erfassen, Veränderungen zu bestimmen und daraus Empfehlungen und Schlussfolgerungen für die zukünftige forstliche Bewirtschaftung und Umweltpolitik abzuleiten. Die Bodenaufnahmen werden in einem ca. 10-jährigen Turnus durchgeführt. Als besondere Alleinstellungsmerkmale sind die Konstanz der Untersuchungsmethodik und der angewandten Analysemethoden sowie die Länge der Untersuchungszeitreihe zu benennen.



